基于旋转法的四水平空间填充设计的构造与性质
康佐航,欧祖军
Construction and Properties of Four-Level Space-Filling Designs Based on Rotation Methods
Zuohang Kang,Zujun Ou
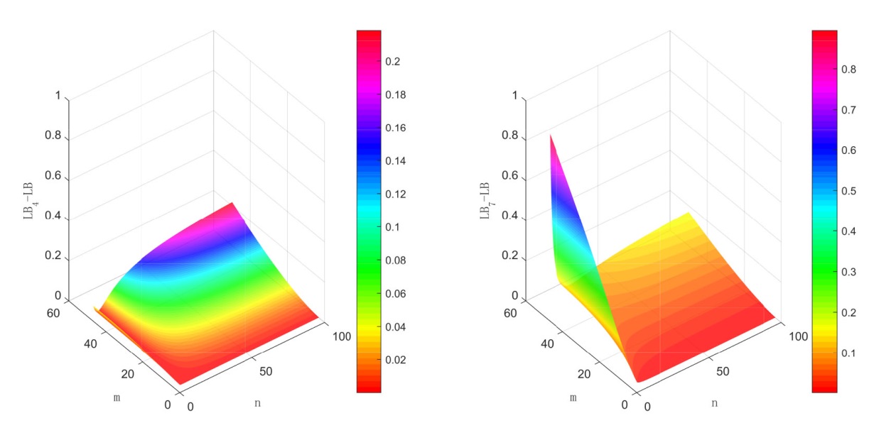
图1
定理 3.4、定理 4.3 下界与 Tian 和 Xu [
22
] 定理 5 下界的差值