具有多级适应性休假和修正的 Min
$(N,D)$
-
策略的 Geo/G/1 离散时间排队分析
魏瑛源,余玅妙
Analysis of Geo/G/1 Queue with Multiple Adaptive Vacations and Modified Min
$(N, D)$
-
Policy
Yingyuan Wei,Miaomiao Yu
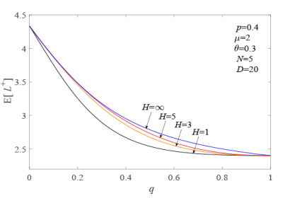
图 11
$\mathrm{E}[L^+]$
随
$q$
和
$H$
的变化情况