具有多种相互作用的 Leslie-Gower 捕食者-猎物系统的时空动力学分析
杨正午, 肖敏, 周颖, 丁洁, 赵静

Spatiotemporal Dynamics Analysis of a Leslie-Gower Predator-Prey System with Multiple Interactions
Zhengwu Yang, Min Xiao, Ying Zhou, Jie Ding, Jing Zhao, Rutkowski Leszek
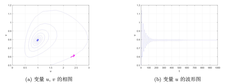
图1 $h{=}0.15{>}h_{H}$ 时系统 (3.1) 在共存平衡点 $E^{*}$ 处渐近稳定.