一类稳态变介电 Poisson-Nernst-Planck 方程的有限元计算
张冰洁, 沈瑞刚

Finite Element Calculation of a Steady-State Variable Dielectric Poisson-Nernst-Planck Equations
Bingjie Zhang, Ruigang Shen
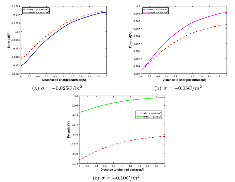
图3 PNP 和 VDPNP 方程模拟的纳米孔带电表面附近的电势分布结果.