解一类时间分数阶逆扩散问题的 Landweber 迭代法
刘云泽, 冯立新

Landweber Iterative Method for a Time Fractional Inverse Diffusion Problem
Yunze Liu, Lixin Feng
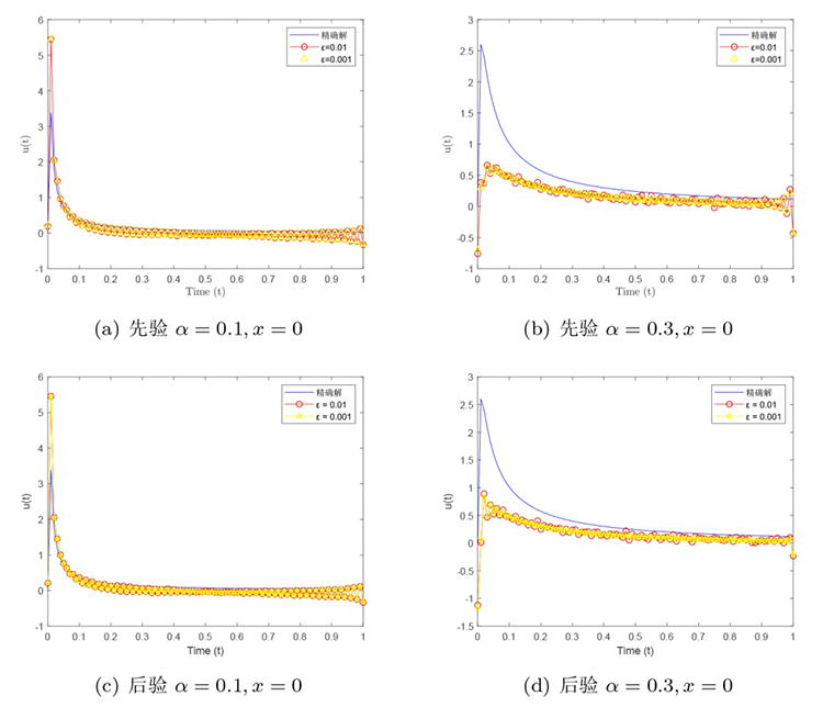
图3 两种原则下在 $x=0$ 处, 不同的 $\varepsilon, \alpha$ 取值时精确解与正则解的比较