Hilbert 空间中关于分层变分不等式问题与不动点问题的投影算法
刘佳宇, 高兴慧, 淡鹭涵

Projection Algorithm for Hierarchical Variational Inequality Problem and Fixed Point Problem in Hilbert Space
Jiayu Liu, Xinghui Gao, Luhan Dan
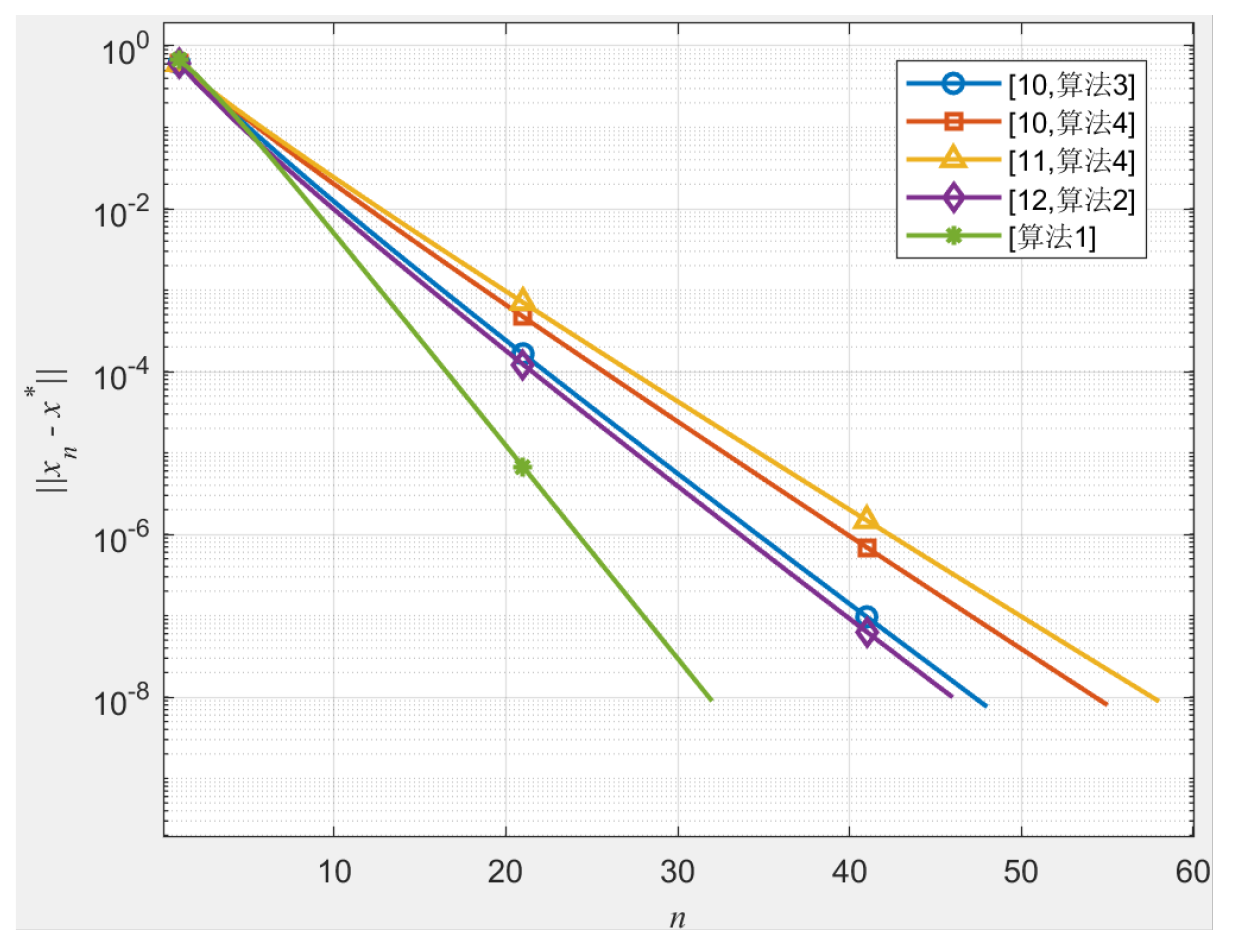
图1 例 4.1 中五种算法的比较