Hilbert 空间中关于分层变分不等式问题与不动点问题的投影算法
刘佳宇, 高兴慧, 淡鹭涵

Projection Algorithm for Hierarchical Variational Inequality Problem and Fixed Point Problem in Hilbert Space
Jiayu Liu, Xinghui Gao, Luhan Dan
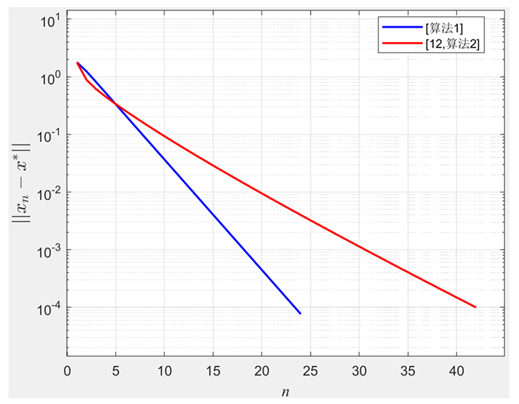
图3 例 4.2 $x_{1}(t)={\rm e}^{t}$ 时两算法的对比图