数学物理学报  2017, Vol. 37 Issue (4): 714-729   PDF    
扩展功能
加入收藏夹
复制引文信息
加入引用管理器
Email Alert
RSS
本文作者相关文章
李华惠
邵志强
用分离的Delta函数法研究非对称Keyfitz-Kranzer系统中Delta激波的交互性
李华惠, 邵志强     
福州大学数学与计算机科学学院 福州 350116
摘要:该文用分离的Delta函数法研究非对称Keyfitz-Kranzer系统中Delta激波的交互性.当初值是三个分段常数状态时,讨论Delta激波和接触间断的交互性,构造性的得到四种不同交互作用下的解.同时,获得当小扰动ε→0时,黎曼解是稳定的.
关键词非对称Keyfitz-Kranzer系统    黎曼解    Delta激波    波的相互作用    
Interactions of Delta Shock Waves for the Nonsymmetric Keyfitz-Kranzer System with Split Delta Functions
Li Huahui, Shao Zhiqiang     
College of Mathematics and Computer Science, Fuzhou University, Fuzhou 350116
Abstract: In this paper, we study the interactions of delta shock waves with contact discontinuities for the nonsymmetric Keyfitz-Kranzer system with split delta functions. The solutions are obtained constructively when the initial data are three piecewise constant states. The global structure and large time-asymptotic behaviors of the solutions are analyzed case by case. Moreover, it can be found that the Riemann solutions are stable for such small perturbations with initial data by studying the limits of the solutions when the perturbed parameter ε→0.
Key words: Nonsymmetric Keyfitz-Kranzer system     Riemann problem     Delta shock wave     Wave interaction    
1 引言

考虑双曲守恒律系统

$ \left\{\begin{array}{ll}\rho_t+\big(\rho (u-p)\big)_x=0,\\ (\rho u)_t+\big(\rho u(u-p)\big)_x=0,\end{array}\right . $ (1.1)

其中,$p=p(\rho)$, $\rho\geq0.$式子(1.1) 是属于非对称Keyfitz-Kranzer系统[13, 16]

$ \left\{\begin{array}{ll}\rho_t+\big(\rho \phi(\rho,u_1,u_2,\cdots ,u_n)\big)_x=0,\\ (\rho u_{i})_t+\big(\rho u_i \phi(\rho,u_1,u_2,\cdots ,u_n)\big)_x=0, \,\,\,i=1,2,\cdots ,n\end{array}\right . $ (1.2)

的一种情形.方程(1.2) 是很有意义的, 因为它出现在各个领域, 如弹性理论、磁流体动力学和提高石油采收率.对于Delta激波, 非对称形式比对称形式更方便.式子(1.1) 也是由Aw和Rascle[1]提出的交通流模型的一个变形, 其中$\rho$, $u>0$分别表示在道路上汽车的密度和速度.函数$p(\rho)$是光滑严格递增的, 且满足

$\rho p''(\rho)+2p' (\rho) >0,\,\,\,\,\,\,\rho>0. $ (1.3)

状态方程为

$p(\rho)=-\frac{1}{\rho},$ (1.4)

其中$\rho>0$.方程(1.4) 作为计算空气动力学中飞机机翼的提升力的一个适当的数学近似, 它是由Chaplygin[4]和Tsien[28]提出的.当密度趋向于无穷时, 声速$c=\frac{1}{\rho}$趋向于零.这种不寻常的属性允许在有限时间出现质量浓度. Chaplygin气体在某些宇宙学的理论中被认为是暗能量的一个可能模型[2-3, 9, 20].

在2014年, Guo, Zhang和Yin[10]用分离$\delta$ -函数研究了Chaplygin气体方程的$\delta$ -激波的相互作用.最近, Shao和Huang[21]用分离$\delta$ -函数法研究了A-R交通模型的$\delta$ -激波的相互作用.然而, 注意到目前为止相对比较少文章用分离$\delta$ -函数的方法研究方程组(1.1) 的$\delta$ -激波的相互作用.受文献[10, 21]的启发, 本文主要目的是利用类似的方法研究方程组(1.1) 和(1.4) 中$\delta$ -激波和接触间断所有可能的交互性.对于方程组(1.1) 和(1.4), Cheng[7]解决了黎曼问题和证实了$\delta$激波解的存在唯一性.在这个模型中, $\delta$ -激波的形成展示了在宇宙进化中的一些现象, 比如黑洞的形成和发展, 宇宙的繁荣和膨胀等.对于$\delta$ -激波的相关研究, 可以参考文献[5-8, 10-15, 17-19, 21-27].

本文主要研究方程组(1.1) 和(1.4) 中$\delta$ -激波和接触间断所有可能的交互性.基本波的相互作用现在被公认为在理论、数字和应用的领域内扮演着添砖加瓦的战略性作用.因此, 这里考虑三个分段常初值

$\big(\rho,u\big)\big(t=0,x\big)= \left\{ \begin{array}{ll} ( \rho_{-},u_{-}) ,\,\,\,- \infty < x <-\varepsilon ,\\ ( \rho_{m},u_{m} ) ,\,\,\,-\varepsilon < x < \varepsilon,\\ ( \rho_{+},u_{+}) ,\,\,\,\varepsilon < x <+\infty, \end{array} \right. $ (1.5)

其中$\varepsilon \rightarrow 0$足够小, 根据相互性我们构造出全局解.在交互的过程中, $\delta$ -激波的强度已被完全计算.而且, 令$\varepsilon \rightarrow 0$, 我们可以得到扰动黎曼问题的解正好趋于相应的黎曼问题的解, 这就证明了黎曼解的稳定性.

最难解决的问题是其他基础波和$\delta$ -激波的相互性会产生$\delta(x)$$H(x)$的乘积.为了克服这问题, 我们利用Nedeljkov和Oberguggenberger[17-19]提出的沿着平面$\overline{{\Bbb R}_{+}^{2}} $上一条正则曲线的$\delta$ -函数的分离法.通过用分离$\delta$ -函数法, 这样分段光滑函数和不连续函数的乘积沿着这曲线才有意义, 且通过映射到通常的Radon-测度空间来定义微分.通过利用分离$\delta$ -函数法, 包括$\delta$ -激波和其他基本波的相互作用在文献[10-12, 19, 21, 23]中被广泛研究.

本文的结构如下.在第二节中, 介绍非对称Keyfitz-Kranzer系统(1.1) 和(1.4) 的黎曼问题.而且, 为了方便读者阅读, 也给出在平面$\overline{{\Bbb R}_{+}^{2}} $上的规则曲线上基于分离$\delta$ -测度的解的概念.在第三节, 当初值为三片段常状态时, 研究$\delta$ -激波和接触间断在不同情形下的相互性.可构造出全局解, 通过令$\varepsilon \rightarrow 0$, 分析黎曼解的稳定性.

2 常初值的黎曼解

在这一节里, 简单回顾方程组(1.1) 和(1.4) 的黎曼解, 初值为

$ (\rho,u)(0,x) =(\rho_{\pm}, u_{\pm}),\,\,\,\,\,\,\,\,\,\,\,\,\pm x> 0,$ (2.1)

其中$\rho_{\pm} >0$, 细节可参考文献[7].方程组(1.1) 和(1.4) 的特征值为

$ \lambda_{1}=u ,\,\,\,\,\,\,\,\lambda_{2}=u+\frac{1}{\rho}. $ (2.2)

相应的右特征向量分别为

$ \overrightarrow{r}_1=(1,0)^{T},\,\,\,\,\,\,\,\overrightarrow{r}_2=\big(1,\frac{1}{\rho^{2}}\big)^{T}. $ (2.3)

直接计算, 有

$ \nabla\lambda_{i}\cdot r_{i}\equiv 0,\,\,\,\,\,i=1,2. $

可得$\lambda_{1}$$\lambda_{2}$都是线性退化的, 相应的基本波都是接触间断.

通常, 我们找出自相似解

$(\rho,u)(t,x)=(\rho,u)(\xi),\,\,\,\,\xi=\frac{x}{t}.$ (2.4)

那么黎曼问题(1.1), (1.4) 和(2.1) 转化为以下常微分方程的边值问题

$ \left\{\begin{array}{ll} -\xi\rho_{\xi}+(\rho u +1)_{\xi}=0,\\ -\xi(\rho u)_{\xi}+(\rho u^{2}+u)_{\xi}=0 \end{array}\right . $ (2.5)

$(\rho,u)(\pm\infty)=(\rho_{\pm},u_{\pm}).$ (2.6)

对光滑解, 方程组(2.5) 可写成

$ \left(\begin{array}{cccc}u-\xi &\rho\\-\xi u+u^{2} &-\xi \rho+2\rho u+1 \end{array}\right)\left(\begin{array}{cccc}\rho_{\xi}\\u_{\xi} \end{array}\right)=0.$ (2.7)

它有一般解(常状态)

$(\rho,u)(\xi)={\mbox{ constant} } \,\,\,\,\,(\rho> 0),$

或奇异解

$ \xi=u=u_{-} $

$ \xi=u+\frac{1}{\rho}=u_{-}+\frac{1}{\rho_{-}}. $ (2.8)

对于在$\xi=\sigma$有界间断上, R-H条件为

$\left\{ \begin{array}{ll} -\sigma[\rho]+[\rho u+1]=0,\\ -\sigma[\rho u]+[\rho u^{2}+u]=0, \end{array} \right. $ (2.9)

其中$[\rho]=\rho -\rho_{-}$.求解(2.9) 式, 有

$\sigma=u=u_{-},$
$\sigma=u+\frac{1}{\rho}=u_{-}+\frac{1}{\rho_{-}}. $ (2.10)

由(2.8) 和(2.10) 式, 我们注意到稀疏波和激波在相平面上是一致的, 它相应的接触间断为

$J_{1}:\xi=u=u_{-},$ (2.11)
$J_{2}:\xi=u+\frac{1}{\rho}=u_{-}+\frac{1}{\rho_{-}}.$ (2.12)

在相平面中, 经过点$(\rho_{-},u_{-}),$画出曲线(2.12) 中对于$\rho>0$的这部分, 记为$J_{2}.$它有两条渐近线分别为$u=u_{-}+\frac{1}{\rho_{-}}$$\rho=0.$经过点$\big(\rho_{-},u_{-}-\frac{1}{\rho_{-}}\big),$画出曲线$u+\frac{1}{\rho}=u_{-},$记为$S.$易得相平面被分为五个区域, 分别是$I,II,III,IV$$V$.

对任意一个给定的右状态$(\rho_{+},u_{+}),$可构造出方程(1.1) 和(2.1) 的黎曼解.当$(\rho_{+},u_{+})\in I \cup II \cup III \cup IV,$黎曼解包含一个1 -接触间断, 一个2 -接触间断, 和一个非真空中间常状态$(\rho_{*},u_{*})$, 其中

$u_{*}=u_{-},\,\,\, \frac{1}{\rho_{*}}=u_{+}+\frac{1}{\rho_{+}}-u_{-}.$ (2.13)

$(\rho_{+},u_{+})\in V,$从初值出发的特征线将会在区域$\Omega=\big\{(x,t):u_{+}+ \frac{1}{\rho_{+}}< \frac{x}{t} < u_{-}\big\}$内重合.所以, 奇性会在区域$\Omega$内产生.易知奇性不可能是有限振幅的跳跃, 因为在有界跳跃上时, 奇性是不满足于R-H条件的.换句话说, 不存在这样的解, 它是分段光滑和有界.受文献[26]的启发, 我们寻找狄拉克$\delta$ -分布的解.事实上, $\delta$ -激波的出现是由于线性退化特征线的重合.

对于方程组(1.1) 和(1.4), 在一定分布下, 解的定义可以由如下给出.

图 2.1 $(\rho,u)$ -平面

图 2.2 $(t,x)$ -平面

定义2.1 一对$(\rho,u)$在一定分布下构成(1.1) 和(1.4) 的解, 如果它对任意检验函数$\varphi\in C^{\infty}_{0}({\Bbb R}^{+}\times {\Bbb R}^{1})$都满足

$ \left\{ \begin{array}{ll} \int_{0}^{+\infty}\int_{-\infty}^{+\infty}(\rho\varphi_{t}+\big(\rho(u-p)\big)\varphi_{x}){\rm d}x{\rm d}t=0,\\[3mm] \int_{0}^{+\infty}\int_{-\infty}^{+\infty}((\rho u)\varphi_{t}+(\rho u(u-p))\varphi_{x}){\rm d}x{\rm d}t=0. \end{array} \right. $ (2.14)

另外, 我们以下面的方式定义二维加权$\delta$函数.

定义2.2 在光滑曲线$ S=\{(t(s),x(s)):a<s<b\}$上的一个二维加权$\delta$函数$w(s)\delta_{S}$可定义为:对任意检验函数$\varphi\in C^{\infty}_{0}({\Bbb R}^{2})$

$ \langle w(s)\delta_{S},\varphi\rangle=\int_{a}^{b}w(s) \varphi(t(s),x(s)){\rm d}s.$

考虑方程组(1.1) 和(1.4) 如下形式的解

$(\rho,u)(t,x)=\left\{ \begin{array}{ll} (\rho_{-},u_{-}),& \hbox{$x<\sigma t $,} \\ (w(t)\delta(x-\sigma t),\sigma),& \hbox{$x=\sigma t$,} \\ (\rho_{+},u_{+}),& \hbox{$x>\sigma t$,} \end{array} \right. $ (2.15)

其中$\sigma$是一个常数, $w(t)\in C^{1}[0,+\infty)$$\delta(\cdot)$表示标准Dirac测度. $x(t)$, $w(t)$$\sigma$分别表示$\delta$ -激波的位置, 权重和速度, 满足如下的广义R-H条件

$ \left\{ \begin{array}{ll} \frac{{\rm d}x(t)}{{\rm d}t}=\sigma,\\[3mm] \frac{{\rm d}w(t)}{{\rm d}t}=\sigma [\rho]-[\rho u+1],\\[3mm] \frac{{\rm d}(w(t)\sigma)}{{\rm d}t}=\sigma [\rho u]-[\rho u^{2}+u], \end{array} \right. $ (2.16)

其中$[\rho]= \rho_{+}-\rho_{-}$, 其初值为

$(x,w)(0) = (0,0).$

解(2.16) 式, 当$[\rho]\neq0$时, 有

$x(t)=\frac{[\rho u]+\sqrt{[\rho u]^{2}-[\rho][\rho u^{2}+u]}}{[\rho]}t,$
$\sigma=\frac{[\rho u]+\sqrt{[\rho u]^{2}-[\rho][\rho u^{2}+u]}}{[\rho]},\,\,\,w(t)=\sqrt{[\rho u]^{2}-[\rho][\rho u^{2}+u]}t.$ (2.17)

$[\rho]=0$时, 有

$x(t)=\frac{u_{-}+u_{+}+\frac{1}{\rho_{-}}}{2}t,\,\,\,\sigma=\frac{u_{-}+u_{+}+\frac{1}{\rho_{-}}}{2},$
$w(t)=\rho_{-}(u_{-}-u_{+})t.$ (2.18)

我们可证实$\delta$ -激波满足以下熵条件

$u_{+}+\frac{1}{\rho_{+}}\leq \sigma\leq u_{-},$ (2.19)

这意味$\delta$ -激波两侧的所有特征线都进去.于是我们得到了非对称Keyfitz-Kranzer系统的黎曼问题的全局解.

接下来, 简要介绍$\delta$ -函数的左右边概念, 这个概念在后续的讨论中会被广泛利用, 其具体的研究可参考文献[10-12, 18-19, 21, 23-24].

分段光滑曲线$\Gamma$$\overline{{\Bbb R}_{+}^{2}} $划分成两个开集合$\Omega_{1}$$\Omega_{2}$, 且$\Omega_{1}\bigcap\Omega_{2}=\emptyset$, $\Omega_{1}\bigcup\Omega_{2}=\overline{{\Bbb R}_{+}^{2}}$.令$C(\Omega_{i})$$M(\Omega_{i})$分别是带有$L^{\infty}$ -范数的有界连续实值函数空间和在$\Omega_{i}$ $(i=1,2)$上的测度空间.记$C_{\Gamma}=(C(\Omega_{1}),C(\Omega_{2}))$, $M_{\Gamma}=(M(\Omega_{1}),M(\Omega_{2}))$, 那么$G=(G_{1}, G_{2})\in C_{\Gamma}$$D=(D_{1},D_{2})\in M_{\Gamma}$的乘积定义为一个元素$GD=(G_{1}D_{1},G_{2}D_{2})\in M_{\Gamma}$, 其中$G_{i}D_{i}(i=1,2)$被定义为一个连续函数和一个测度通常的乘积.所以, 上述的乘积定义是有意义的.

我们把在$\overline{\Omega_{i}} $的测度当做支集在$\overline{\Omega_{i}}(i=1,2) $上的$\overline{{\Bbb R}_{+}^{2}} $的测度.根据这点, 可得映射$m: M_{\Gamma}\rightarrow M(\overline{{\Bbb R}_{+}^{2}}) $, 使得$m(D)=D_{1}+D_{2}$.同样, 可得$m(GD)=G_{1}D_{1}+G_{2}D_{2}$.

本文中解的概念描述如下:在空间进行$M_{\Gamma}$乘法和复合, 然后在微分分布空间中, 利用映射$m: M_{\Gamma}\rightarrow M(\overline{{\Bbb R}_{+}^{2}}) $.

3 Delta激波和接触间断的交互性

在这节中, 我们考虑三片段常数初值问题(1.1), (1.4) 和(1.5), 构造出全局解.在交互性的过程, 计算出$\delta$ -激波的强度.初值(1.5) 是相对应黎曼初值(2.1) 的一个扰动.我们考虑, 当$\varepsilon\rightarrow0$, $(\rho_{\varepsilon},u_{\varepsilon})(x,t)$的极限是否就是系统(1.1), (1.4) 和(2.1) 黎曼解, 其中$(\rho_{\varepsilon},u_{\varepsilon})(x,t)$是系统(1.1), (1.4) 和(1.5) 的解.我们将解决这个问题, 同时构造出解来.

根据从起点分别为$(-\varepsilon,0)$$(\varepsilon,0)$$\delta$ -激波和接触间断的不同组合, 我们分四种情形讨论.在各种情况下, 仅考虑$\rho_{+}\neq\rho_{-}$, 当$\rho_{+}=\rho_{-}$时, 也可以类似说明.

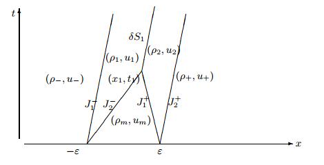
情形3.1 $u_{m}+\frac{1}{\rho_{m}}\leq u_{-},\,u_{+}+\frac{1}{\rho_{+}}\leq u_{m}$.

在这一情况中, 当$t$足够小时, 初值问题(1.1), (1.4) 和(1.5) 的解可简要写成(见图 3.1)

$(\rho_{-},u_{-})+\delta S_{1}+(\rho_{m},u_{m})+\delta S_{2}+(\rho_{+},u_{+}),$
图 3.1 $u_{m}+\frac{1}{\rho_{m}}\leq u_{-}$$u_{+}+\frac{1}{\rho_{+}}\leq u_{m}$

其中“+”表示“跟随”.

两个$\delta$ -激波($\delta S_{1}$$\delta S_{2}$)的传播速度分别是$\sigma_{1}$$\sigma_{2}$, 其中$\sigma_{1}$$ \sigma_{2}$分别满足

$u_{m}+\frac{1}{\rho_{m}}\leq \sigma_{1}\leq u_{-},\,\,\,\,\,\,u_{+}+\frac{1}{\rho_{+}}\leq \sigma_{2} \leq u_{m}. $

于是, 易知$\delta$ -激波$\delta S_{1}$在有限的时间内会赶追上$\delta S_{2}$.交点$(x_{1},t_{1})$可由以下式子决定

$ \left\{\begin{array}{ll} x_{1}+\varepsilon=\sigma_{1}t_{1} ,\\ x_{1}-\varepsilon=\sigma_{2}t_{1}, \end{array}\right .$ (3.1)

其中

$\sigma_{1}=\frac{\rho_{m} u_{m}-\rho_{-} u_{-}+\frac{{\rm d}w_{1}(t)}{{\rm d}t}}{\rho_{m}-\rho_{-}},\,\,\,\,\,\,\,w_{1}(t)=\sqrt{\rho_{-}\rho_{m}(u_{m}-u_{-})^2+(u_{-}-u_{m})(\rho_{m}-\rho_{-})}t_{1};$
$\sigma_{2}=\frac{\rho_{+} u_{+}-\rho_{m} u_{m}+\frac{{\rm d}w_{2}(t)}{{\rm d}t}}{\rho_{+}-\rho_{m}},\,\,\,\,\,\,\,w_{2}(t)=\sqrt{\rho_{+}\rho_{m}(u_{+}-u_{m})^2+(u_{m}-u_{+})(\rho_{+}-\rho_{m})}t_{1}.$

求解(3.1) 式, 有

$(x_{1},t_{1})=\Big(\frac{2\varepsilon \sigma_{1}}{\sigma_{1}-\sigma_{2}}-\varepsilon,\frac{2\varepsilon}{\sigma_{1}-\sigma_{2}}\Big).$ (3.2)

在交点$(x_{1},t_{1})$处, 会产生如下形式新的初值

$ u|_{t=t_{1}}=\left\{\begin{array}{ll} u_{-},\,\,\,\,x<x_{1},\\ u_{+},\,\,\,\,x>x_{1}, \end{array},\,\,\,\,\rho|_{t=t_{1}}=\left\{\begin{array}{ll} \rho_{-},\,\,\,\,x<x_{1},\\ \rho _{+},\,\,\,\,x>x_{1},\end{array}\right.+\beta(t_{1})\delta(x_{1},t_{1}),\right. $ (3.3)

其中$\beta(t_{1})$表示在时刻$t_{1}$时, $\delta$ -激波$\delta S_{1} $$\delta S_{2} $的强度之和, 计算可得

$ \beta(t_{1})=\sqrt{\rho_{-}\rho_{m}(u_{m}-u_{-})^2+(u_{-}-u_{m})(\rho_{m}-\rho_{-})}t_{1} $
$ \hspace{18mm}+ \sqrt{\rho_{+}\rho_{m}(u_{+}-u_{m})^2+(u_{m}-u_{+})(\rho_{+}-\rho_{m})}t_{1}.$ (3.4)

在相交之后, 一个新的$\delta$ -激波生成, 记为$\delta S_{3}$, 我们可表示成

$ \left\{\begin{array}{ll} u(x,t)=u_{-}+(u_{+}-u_{-})H ,\\ \rho (x,t)=\rho_{-}+(\rho_{+}-\rho_{-})H+\beta_{-}(t)D^{-}+\beta_{+}(t)D^{+}, \end{array}\right .$ (3.5)

其中$H$表示Heaviside函数, $\beta(t)D=\beta_{-}(t)D^{-}+\beta_{+}(t)D^{+}$表示分离的$\delta$ -函数.它们都在直线$x=x_{1}+(t-t_{1})\sigma_{3}$上, 也就是说, 它们是直线$x=x_{1}+(t-t_{1})\sigma_{3}$上的函数, 其中$\sigma_{3}$表示$\delta S_{3}$的传播速度.尽管它们都是同一条直线上, 但$D^{-}$表示集合$\overline{{\Bbb R}_{+}^{2}}\cap \{(x,t)|x\leq x_{1}+(t-t_{1})\sigma_{3}\} $$\delta$ -测度, $D^{+}$表示集合$\overline{{\Bbb R}_{+}^{2}}\cap \{(x,t)|x\geq x_{1}+(t-t_{1})\sigma_{3}\} $$\delta$ -测度.

由(3.5) 式, 计算有

$\rho_{t}(x,t)=(-\sigma(\rho_{+}-\rho_{-})+\beta_{-}' (t)+\beta_{+}' (t))\delta-\sigma(\beta_{-}(t)+\beta_{+}(t))\delta' ,$ (3.6)
$(\rho u)_{x}(x,t)=(\rho_{+}u_{+}-\rho_{-}u_{-})\delta+(u_{-}\beta_{-}(t)+u_{+}\beta_{+}(t))\delta' ,$ (3.7)
$(\rho u)_{t}(x,t)=(-\sigma(\rho_{+}u_{+}-\rho_{-}u_{-})+u_{-}\beta_{-}' (t)+u_{+}\beta_{+}' (t))\delta -\sigma(u_{-}\beta_{-}(t)+u_{+}\beta_{+}(t))\delta' ,$ (3.8)
$(\rho u^{2}+u)_{x}(x,t)=(\rho_{+}u_{+}^{2}-\rho_{-}u_{-}^{2}+u_{+}-u_{-})\delta+(u_{-}^{2}\beta_{-}(t)+u_{+}^{2}\beta_{+}(t))\delta' .$ (3.9)

把(3.6)-(3.7) 式代入系统(1.1) 的第一个方程, 有

$ \left\{\begin{array}{ll} -\sigma(\rho_{+}-\rho_{-})+\beta_{-}' (t)+\beta_{+}' (t)+\rho_{+}u_{+}-\rho_{-}u_{-}=0, \\ -\sigma(\beta_{-}(t)+\beta_{+}(t))+u_{-}\beta_{-}(t)+u_{+}\beta_{+}(t)=0. \end{array}\right .$ (3.10)

把(3.8)-(3.9) 式代入系统$(1.1)_2$, 有

$ \left\{\begin{array}{ll} -\sigma(\rho_{+}u_{+}-\rho_{-}u_{-})+u_{-}\beta_{-}' (t)+u_{+}\beta_{+}' (t)+\rho_{+}u_{+}^{2}-\rho_{-}u_{-}^{2}+u_{+}-u_{-}=0, \\ -\sigma(u_{-}\beta_{-}(t)+u_{+}\beta_{+}(t))+u_{-}^{2}\beta_{-}(t)+u_{+}^{2}\beta_{+}(t)=0. \end{array}\right .$ (3.11)

由(3.10) 和(3.11) 式, 可看出方程的个数已超过了计算所需的方程个数.注意到初值条件(3.4), 从(3.10) 式, 计算得

$\beta(t)=\beta_{-}(t)+\beta_{+}(t)=\beta(t_{1})+\sqrt{\rho_{+}\rho_{-}(u_{+}-u_{-})^2+(\rho_{+}-\rho_{-})(u_{-}-u_{+})}(t-t_{1}). $ (3.12)

同理, 由$(3.11)_1$$(3.10)_2$式, 有

$\beta(t)=\beta_{-}(t)+\beta_{+}(t)=\beta(t_{1})+\sqrt{\rho_{+}\rho_{-}(u_{+}-u_{-})^2+(\rho_{+}-\rho_{-})(u_{-}-u_{+})}(t-t_{1}). $ (3.13)

这表明方程(3.10) 和(3.11) 是兼容的.

由(3.3) 式易知当$\varepsilon\rightarrow0$时, $(x_{1},t_{1})$趋向于$(0,0)$, 并且由(3.4) 式有$\beta(t_{1})\rightarrow0$.于是, (1.1), (1.4) 和(1.5) 式解的极限仍是一个$\delta$ -激波, 这正是系统(1.1), (1.4) 和(2.1) 的黎曼解.

情形3.2 $u_{-}\leq u_{m}+\frac{1}{\rho _{m}}, u_{+}+\frac{1}{\rho _{+}}\leq u_{m}$.

在这种情况下, 当$t$足够小时, 初值问题(1.1), (1.4) 和(1.5) 的解可简要写成(见图 3.2.1, 图 3.2.2图 3.2.3)

$(\rho_{-},u_{-})+J_{1}^{-}+(\rho_{1},u_{1})+J_{2}^{-}+(\rho_{m}, u_{m})+\delta S_{1}+(\rho_{+},u_{+}).$
图 3.2.1 $u_{+}+\frac{1}{\rho_{+}} <u_{-}\leq u_{m}+\frac{1}{\rho_{m}}$$u_{+}+\frac{1}{\rho_{+}}\leq u_{m}$

图 3.2.2 $u_{+}+\frac{1}{\rho_{+}} = u_{-}\leq u_{m}+\frac{1}{\rho_{m}}$$u_{+}+\frac{1}{\rho_{+}}\leq u_{m}$

图 3.2.3 $ u_{-}\leq u_{m}+\frac{1}{\rho_{m}},u_{+}+\frac{1}{\rho_{+}}\leq u_{m},u_{-}<u_{+}+\frac{1}{\rho_{+}}$

并且, 由(2.10) 式, 有

$u_{1}=u_{-},\,\,\,\,\,\frac{1}{\rho_{1}}=u_{m}-u_{-}+\frac{1}{\rho_{m}}. $ (3.14)

易知2 -接触间断$J_{2}^{-}$的传播速度是$u_{m}+\frac{1}{\rho_{m}}$, $\delta$ -激波$\delta S_{1}$的传播速度是$\sigma_{1}$, 且$\sigma_{1}$满足$u_{+}+\frac{1}{\rho_{+}}\leq \sigma_{1}\leq u_{m}.$那么, $J_{2}^{-}$$\delta S_{1}$在有限的时间内将会相交, 其交点$(x_{1},t_{1})$可表达成

$ \left\{\begin{array}{ll} x_{1}+\varepsilon=\big(u_{m}+\frac{1}{\rho_{m}}\big)t_{1} ,\\[2mm]x_{1}-\varepsilon=\sigma_{1}t_{1}. \end{array}\right .$ (3.15)

这说明

$(x_{1},t_{1})=\bigg(\frac{2\varepsilon \big(u_{m}+\frac{1}{\rho_{m}}\big)}{u_{m}+\frac{1}{\rho_{m}}-\sigma_{1}}-\varepsilon,\frac{2\varepsilon}{u_{m}+\frac{1}{\rho_{m}}-\sigma_{1}}\bigg),$ (3.16)

其中

$\sigma_{1}=\frac{\rho_{+} u_{+}-\rho_{m} u_{m}+\frac{{\rm d}w_{1}(t)}{{\rm d}t}}{\rho_{+}-\rho_{m}},\,\,\,\,\,\,\,w_{1}(t)=\sqrt{\rho_{+}\rho_{m}(u_{+}-u_{m})^2+(\rho_{+}-\rho_{m})(u_{m}-u_{+})}t_{1}.$

$\delta S_{1}$的强度可用如下公式计算

$\beta (t_{1})=w_{1}(t_{1})=\sqrt{\rho_{+}\rho_{m}(u_{+}-u_{m})^2+(\rho_{+}-\rho_{m})(u_{m}-u_{+})}t_{1}.$ (3.17)

那么在时刻$t=t_{1}$时, 有一个新的黎曼问题, 其初值为

$ (\rho,u)(t_{1},x)=\left\{\begin{array}{ll} (\rho _{1},u_{1}),\,\,\,\,x<x_{1},\\ (\rho _{+},u_{+}),\,\,\,\,x>x_{1}.\end{array} \right .$ (3.18)

为讨论这种情形, 我们进一步分成如下两种子情形来讨论.

子情形3.2.1 $u_{+}+\frac{1}{\rho_{+}}<u_{-}.$

在这种情形下, 在相交后, 出现一个新的$\delta$ -激波, 记为$\delta S_{2}$ (看图 3.2.1).和情形3.1类似, $\delta S_{2}$可表示成

$ \left\{\begin{array}{ll} u(x,t)=u_{1}+(u_{+}-u_{1})H ,\\ \rho (x,t)=\rho_{1}+(\rho_{+}-\rho_{1})H+\beta_{1}(t)D^{-}+\beta_{+}(t)D^{+}. \end{array}\right .$ (3.19)

由(3.19) 式, 计算出

$\rho_{t}(x,t)=(-\sigma(\rho_{+}-\rho_{1})+\beta_{1}' (t)+\beta_{+}' (t))\delta-\sigma(\beta_{1}(t)+\beta_{+}(t))\delta' ,$ (3.20)
$(\rho u)_{x}(x,t)=(\rho_{+}u_{+}-\rho_{1}u_{1})\delta+(u_{1}\beta_{1}(t)+u_{+}\beta_{+}(t))\delta' ,$ (3.21)
$(\rho u)_{t}(x,t)=(-\sigma(\rho_{+}u_{+}-\rho_{1}u_{1})+u_{1}\beta_{-}' (t)+u_{+}\beta_{+}' (t))\delta -\sigma(u_{1}\beta_{1}(t)+u_{+}\beta_{+}(t))\delta' ,$ (3.22)
$(\rho u^{2}+u)_{x}(x,t)=(\rho_{+}u_{+}^{2}-\rho_{1}u_{1}^{2}+u_{+}-u_{1})\delta+(u_{1}^{2}\beta_{1}(t)+u_{+}^{2}\beta_{+}(t))\delta' .$ (3.23)

把(3.20) 和(3.21) 式代入方程组(1.1) 的第一个方程, 有如下关系

$ \left\{\begin{array}{ll} -\sigma(\rho_{+}-\rho_{1})+\beta_{1}' (t)+\beta_{+}' (t)+\rho_{+}u_{+}-\rho_{1}u_{1}=0, \\ -\sigma(\beta_{1}(t)+\beta_{+}(t))+u_{1}\beta_{1}(t)+u_{+}\beta_{+}(t)=0. \end{array}\right .$ (3.24)

把(3.22) 和(3.23) 式代入$(1.1)_2$式, 有

$ \left\{\begin{array}{ll} -\sigma(\rho_{+}u_{+}-\rho_{1}u_{1})+u_{1}\beta_{1}' (t)+u_{+}\beta_{+}' (t)+\rho_{+}u_{+}^{2}-\rho_{1}u_{1}^{2}+u_{+}-u_{1}=0, \\ -\sigma(u_{1}\beta_{1}(t)+u_{+}\beta_{+}(t))+u_{1}^{2}\beta_{1}(t)+u_{+}^{2}\beta_{+}(t)=0. \end{array}\right .$ (3.25)

由(3.24) 和(3.25) 式, 可得方程的个数超过了计算所需的方程个数.注意到初值条件(3.17), 可从(3.24) 式中得出

$\beta(t)=\beta_{1}(t)+\beta_{+}(t)=\beta(t_{1})+\sqrt{\rho_{+}\rho_{1}(u_{+}-u_{1})^2+(\rho_{+}-\rho_{1})(u_{1}-u_{+})}(t-t_{1}). $

$(3.25)_1$$(3.24)_2$式, 有

$\beta(t)=\beta_{1}(t)+\beta_{+}(t)=\beta(t_{1})+\sqrt{\rho_{+}\rho_{1}(u_{+}-u_{1})^2+(\rho_{+}-\rho_{1})(u_{1}-u_{+})}(t-t_{1}), $

这意味着(3.24) 和(3.25) 式是可兼容的.

易知1 -接触间断$J_{1}^{-}$的传播速度是$u_{-}$, $\delta$ -激波$\delta S_{2}$的传播速度是$\sigma_{2},$其中$\sigma_{2}$满足$u_{+}+\frac{1}{\rho_{+}}<\sigma_{2}<u_{-}.$于是, $J_{1}^{-}$将在有限的时间内和$\delta S_{2}$相交.其交点$(x_{2},t_{2})$可表示成

$ \left\{\begin{array}{ll} x_{2}+\varepsilon=u_{-}t_{2} ,\\ x_{2}-x_{1}=\sigma_{2}(t_{2}-t_{1}), \end{array}\right .$ (3.26)

其中

$(x_{2},t_{2})=\bigg(\frac{(\varepsilon +x_{1}-\sigma_{2}t_{1})u_{-}}{u_{-}-\sigma_{2}}-\varepsilon, \frac{\varepsilon +x_{1}-\sigma_{2}t_{1}}{u_{-}-\sigma_{2}}\bigg).$ (3.27)

在交点$(x_{2},t_{2})$处, $\delta S_{2}$的强度可计算出

$\beta(t_{2})=\beta(t_{1})+\sqrt{\rho_{+}\rho_{1}(u_{+}-u_{1})^2+(\rho_{+}-\rho_{1})(u_{1}-u_{+})}(t_{2}-t_{1}). $ (3.28)

那么, 在时刻$t=t_{2}$时, 又产生一个黎曼问题, 它的初值为

$ (\rho,u)(t_{2},x)=\left\{\begin{array}{ll} (\rho _{-},u_{-}),\,\,\,\,x<x_{2},\\ (\rho _{+},u_{+}),\,\,\,\,x>x_{2}.\end{array} \right .$ (3.29)

由于$u_{+}+\frac{1}{\rho_{+}} < u_{-},$在相交后, 又会出现一个新的$\delta$ -激波$\delta S_{3}$, 由(3.5) 式可计算出

$\rho_{t}(x,t)=(-\sigma(\rho_{+}-\rho_{-})+\beta_{-}' (t)+\beta_{+}' (t))\delta-\sigma(\beta_{-}(t)+\beta_{+}(t))\delta' ,$ (3.30)
$(\rho u)_{x}(x,t)=(\rho_{+}u_{+}-\rho_{-}u_{-})\delta+(u_{-}\beta_{-}(t)+u_{+}\beta_{+}(t))\delta' ,$ (3.31)
$(\rho u)_{t}(x,t)=(-\sigma(\rho_{+}u_{+}-\rho_{-}u_{-})+u_{-}\beta_{-}' (t)+u_{+}\beta_{+}' (t))\delta -\sigma(u_{-}\beta_{-}(t)+u_{+}\beta_{+}(t))\delta' ,$ (3.32)
$(\rho u^{2}+u)_{x}(x,t)=(\rho_{+}u_{+}^{2}-\rho_{-}u_{-}^{2}+u_{+}-u_{-})\delta+(u_{-}^{2}\beta_{-}(t)+u_{+}^{2}\beta_{+}(t))\delta' .$ (3.33)

将(3.30) 和(3.31) 式代入$(1.1)_{1}$式, 并且比较$\delta$$\delta ' $的系数, 有

$ \left\{\begin{array}{ll} -\sigma(\rho_{+}-\rho_{-})+\beta_{-}' (t)+\beta_{+}' (t)+\rho_{+}u_{+}-\rho_{-}u_{-}=0, \\ -\sigma(\beta_{-}(t)+\beta_{+}(t))+u_{-}\beta_{-}(t)+u_{+}\beta_{+}(t)=0. \end{array}\right.$ (3.34)

由(3.32)-(3.33) 和$(1.1)_2$式, 可得

$ \left\{\begin{array}{ll} -\sigma(\rho_{+}u_{+}-\rho_{-}u_{-})+u_{-}\beta_{-}' (t)+u_{+}\beta_{+}' (t)+\rho_{+}u_{+}^{2}-\rho_{-}u_{-}^{2}+u_{+}-u_{-}=0, \\ -\sigma(u_{-}\beta_{-}(t)+u_{+}\beta_{+}(t))+u_{-}^{2}\beta_{-}(t)+u_{+}^{2}\beta_{+}(t)=0. \end{array}\right .$ (3.35)

注意到初值条件(3.28), 由(3.34) 式, 可计算出

$\beta(t)=\beta_{-}(t)+\beta_{+}(t)=\beta(t_{2})+\sqrt{\rho_{+}\rho_{-}(u_{+}-u_{-})^2+(\rho_{+}-\rho_{-})(u_{-}-u_{+})}(t-t_{2}). $

$(3.35)_1$$(3.34)_2$式, 有

$ \beta(t)=\beta_{-}(t)+\beta_{+}(t)=\beta(t_{2})+\sqrt{\rho_{+}\rho_{-}(u_{+}-u_{-})^2+(\rho_{+}-\rho_{-})(u_{-}-u_{+})}(t-t_{2}). $

这意味(3.34) 和(3.35) 式是兼容的.

由(3.16) 和(3.17) 式可知, 当$\varepsilon\rightarrow0$时, $(x_{1},t_{1})$$(x_{2},t_{2})$都趋于$(0,0)$.并且, 由(3.17) 和(3.28) 式得出, 当$\varepsilon\rightarrow0$时, 有$\beta(t_{1})\rightarrow0$$\beta(t_{2})\rightarrow0$.于是, 方程组(1.1), (1.4) 和(1.5) 解的极限仍然是一个$\delta$ -激波, 这恰好是方程组(1.1), (1.4) 和(2.1) 的黎曼解.

子情形3.2.2 $ u_{-} = u_{+}+\frac{1}{\rho_{+}}.$

在这子情形中, 类似子情形3.2.1,在交互后, 出现一个新的$\delta$ -激波, 记作$\delta S_{2} $, $\delta S_{2} $的强度由(3.28) 式决定. $\delta S_{2} $的速度等于$J_{1}^{-}$的速度.那么, 当$t>t_{1}$时, 方程组(1.1), (1.4) 和(1.5) 可表达成(看图 3.2.2)

$(\rho_{-},u_{-})+ J_{1}^{-}+(\rho_{1},u_{1} )+\delta S_{2} +(\rho_{+},u_{+} ).$

由(3.16) 式可知, 当$\varepsilon\rightarrow0$时, $(x_{1},t_{1})$趋向于$(0,0)$.并且, 由(3.17) 式得出, 当$\varepsilon\rightarrow0$时, 有$\beta(t_{1})\rightarrow0$.于是, 方程组(1.1), (1.4) 和(1.5) 解的极限仍然是一个$\delta$ -激波, 这正是方程组(1.1), (1.4) 和(2.1) 的黎曼解.

子情形3.2.3 $u_{-}< u_{+}+\frac{1}{\rho_{+}}.$

在这子情形下, 2 -接触间断和$\delta$ -激波交互之后, 将出现两个新的接触间断$J_{1}^{1}$$J_{2}^{1}$ (看图 3.2.3).中间状态$(\rho_{2},u_{2})$满足

$u_{2}=u_{1},\,\,\,\,\,\frac{1}{\rho_{2}}=u_{+}-u_{1}+\frac{1}{\rho_{+}},$ (3.36)

其中$u_{1}$满足(3.14) 式.

那么, 当$t>t_{1}$时, 方程组(1.1), (1.4) 和(1.5) 的解可写成

$(\rho_{-}, u_{-})+J_{1}^{-}+(\rho_{1}, u_{1})+J_{1}^{1}+(\rho_{2}, u_{2})+J_{2}^{1}+(\rho_{+}, u_{+}).$

$\varepsilon\rightarrow0$, 可得方程组(1.1), (1.4) 和(1, 5) 解的极限就是系统(1.1), (1.4) 和(2.1) 的黎曼解.

情形3.3 $u_{-}\leq u_{m}+\frac{1}{\rho_{m}},\,\,\,u_{m}\leq u_{+}+\frac{1}{\rho_{+}}$.

在这一情形下, 当$t$足够小时, 初值问题(1.1), (1.4) 和(1.5) 的解可简要写成(看图 3.3.1(a)图 3.3.1(b)图 3.3.2图 3.3.3)

$(\rho_{-},u_{-})+J_{1}^{-}+(\rho_{1}, u_{1})+J_{2}^{-}+(\rho_{m},u_{m})+J_{1}^{+}+(\rho_{2}, u_{2})+J_{2}^{+}+(\rho_{+},u_{+}).$
图 3.3.1(a) $ u_{m}\leq u_{+}+\frac{1}{\rho_{+}} <u_{-}\leq u_{m} +\frac{1}{\rho_{m}}$

图 3.3.1(b) $ u_{m}\leq u_{+}+\frac{1}{\rho_{+}} <u_{-}\leq u_{m} +\frac{1}{\rho_{m}}$

图 3.3.2 $u_{m}\leq u_{+}+\frac{1}{\rho_{+}}=u_{-}\leq u_{m}+\frac{1}{\rho_{m}} $

图 3.3.3 $u_{-}\leq u_{m}+\frac{1}{\rho_{m}},u_{m} \leq u_{+}+\frac{1}{\rho_{+}},u_{-}< u_{+}+\frac{1}{\rho_{+}} $

并且, 由(2.10) 式, 有

$u_{1}=u_{-},\,\,\,\,\,\frac{1}{\rho_{1}}=u_{m}-u_{-}+\frac{1}{\rho_{m}}. $ (3.37)
$u_{2}=u_{m},\,\,\,\,\,\frac{1}{\rho_{2}}=u_{+}-u_{m}+\frac{1}{\rho_{+}}. $ (3.38)

容易看出2 -接触间断$J_{2}^{-}$的传播速度是$u_{m}+\frac{1}{\rho_{m}}$, 1 -接触间断$J_{1}^{+}$的传播速度是$u_{m}.$于是, $J_{2}^{-}$$J_{1}^{+}$会在有限的时间内相遇, 且交点$(x_{1},t_{1})$由下列方程决定

$ \left\{\begin{array}{ll} x_{1}+\varepsilon=\Big(u_{m}+\frac{1}{\rho_{m}}\Big)t_{1} ,\\[2mm]x_{1}-\varepsilon=u_{m}t_{1}, \end{array}\right.$ (3.39)

其中

$(x_{1},t_{1})=(2\varepsilon\rho_{m} u_{m}+\varepsilon,2\varepsilon\rho_{m}).$ (3.40)

那么在时刻$t=t_{1}$时, 一个新的黎曼问题产生, 其初值如下

$ (\rho,u)(t_{1},x)=\left\{\begin{array}{ll} (\rho _{1},u_{1}),\,\,\,\,x<x_{1},\\ (\rho _{2},u_{2}).\,\,\,\,x>x_{1},\end{array} \right.$ (3.41)

考虑到状态$(\rho _{1},u_{1})$$(\rho _{2},u_{2})$, 分以下两种子情形来讨论.

子情形3.3.1 $u_{+}+\frac{1}{\rho_{+}}<u_{-}.$

在交互后, 会出现一个新的$\delta$ -激波, 记作$\delta S_{1}$, 可表示成

$ \left\{\begin{array}{ll} u(x,t)=u_{1}+(u_{2}-u_{1})H ,\\ \rho (x,t)=\rho_{1}+(\rho_{2}-\rho_{1})H+\beta_{1}(t)D^{-}+\beta_{2}(t)D^{+}. \end{array}\right.$ (3.42)

由(3.42) 式, 可计算出

$\rho_{t}(x,t)=(-\sigma(\rho_{2}-\rho_{1})+\beta_{1}' (t)+\beta_{2}' (t))\delta-\sigma(\beta_{1}(t)+\beta_{2}(t))\delta' ,$ (3.43)
$(\rho u)_{x}(x,t)=(\rho_{2}u_{2}-\rho_{1}u_{1})\delta+(u_{1}\beta_{1}(t)+u_{2}\beta_{2}(t))\delta' ,$ (3.44)
$(\rho u)_{t}(x,t)=(-\sigma(\rho_{2}u_{2}-\rho_{1}u_{1})+u_{1}\beta_{1}' (t)+u_{2}\beta_{2}' (t))\delta -\sigma(u_{1}\beta_{1}(t)+u_{2}\beta_{2}(t))\delta' ,$ (3.45)
$(\rho u^{2}+u)_{x}(x,t)=(\rho_{2}u_{2}^{2}-\rho_{1}u_{1}^{2}+u_{2}-u_{1})\delta+(u_{1}^{2}\beta_{1}(t)+u_{2}^{2}\beta_{2}(t))\delta' .$ (3.46)

把(3.43) 和(3.44) 式代入方程组(1.1) 的第一个方程, 有

$ \left\{\begin{array}{ll} -\sigma(\rho_{2}-\rho_{1})+\beta_{1}' (t)+\beta_{2}' (t)+\rho_{2}u_{2}-\rho_{1}u_{1}=0, \\ -\sigma(\beta_{1}(t)+\beta_{2}(t))+u_{1}\beta_{1}(t)+u_{2}\beta_{2}(t)=0. \end{array}\right.$ (3.47)

由(3.45) 和(3.46) 和$(1.1)_2$式, 有

$ \left\{\begin{array}{ll} -\sigma(\rho_{2}u_{2}-\rho_{1}u_{1})+u_{1}\beta_{1}' (t)+u_{2}\beta_{2}' (t)+\rho_{2}u_{2}^{2}-\rho_{1}u_{1}^{2}+u_{2}-u_{1}=0, \\ u_{1}\beta_{1}(t)+u_{2}\beta_{2}(t)+u_{1}^{2}\beta_{1}(t)+u_{2}^{2}\beta_{2}(t)=0. \end{array}\right.$ (3.48)

由(3.47) 式, 可得

$\beta(t)=\beta_{1}(t)+\beta_{2}(t)=\sqrt{\rho_{2}\rho_{1}(u_{2}-u_{1})^2+(\rho_{2}-\rho_{1})(u_{1}-u_{2})}(t-t_{1}), $ (3.49)

其中$u_1,u_2,\rho_1,\rho_2 $满足(3.37) 和(3.38) 式.由(3.48) 式, 可计算出

$\beta(t)=\beta_{1}(t)+\beta_{2}(t)=\sqrt{\rho_{2}\rho_{1}(u_{2}-u_{1})^2+(\rho_{2}-\rho_{1})(u_{1}-u_{2})}(t-t_{1}). $

所以方程组(3.47)-(3.48) 是兼容的.

传播速度$\sigma$满足$u_{+}+\frac{1}{\rho_{+}} < \sigma <u_{-}$.接触间断$J_{1}^{-}$$J_{2}^{+}$将会和$\delta$ -激波在有限时间内交互, 这时, 新的$\delta$ -激波产生了.和情形3.2的分析类似, 所以在此我们省略(看图 3.3.1(a)或者图 3.3.1(b)).

$\varepsilon\rightarrow0 $, 易知初值问题(1.1), (1.4) 和(1.5) 解的极限就是系统(1.1), (1.4) 和(2.1) 的黎曼解.

子情形3.3.2 $u_{+}+\frac{1}{\rho_{+}}=u_{-}.$

类似子情形3.3.1, 在时刻$t_{1}$后, 会出现一个新的$\delta$ -激波$\delta S_{1}$, 且$\delta S_{1}$的强度可由(3.49) 式给出.所以, 当$t> t_{1}$时, 初值问题(1.1), (1.4) 和(1.5) 的解可表示为(见图 3.3.2)

$(\rho_{-},u_{-}) + J_{1}^{-} + (\rho_{1},u_{1})+\delta S_{1} + J_{2}^{+} + (\rho_{+},u_{+}).$

子情形3.3.3 $u_{-}<u_{+}+\frac{1}{\rho_{+}}.$

在这种情形下, 易知, 2 -接触间断$J_{2}^{-}$和1 -接触间断$J_{1}^{+}$交互后, 出现2个新的接触间断$J_{1}$$J_{2}$, 且中间状态$(\rho_{3},u_{3})$满足

$u_{3}=u_{1},\,\,\,\,\,\frac{1}{\rho_{3}}=u_{2}-u_{1}+\frac{1}{\rho_{2}},$ (3.50)

其中$u_{1}$, $u_{2}$, $\rho_{1}$, $\rho_{2}$分别满足(3.37) 和(3.38) 式.所以, 当$t>t_{1}$时, 方程组(1.1), (1.4) 和(3.1) 的解可以表示成

$(\rho_{-}, u_{-})+J_{1}^{-}+(\rho_{1}, u_{1})+J_{1}+(\rho_{3}, u_{3})+J_{2}+(\rho_{2}, u_{2})+J_{2}^{+}+(\rho_{+}, u_{+}).$

$\varepsilon\rightarrow0 $, 可知初值问题方程组(1.1), (1.4) 和(1.5) 解的极限就是方程组(1.1), (1.4) 和(2.1) 的黎曼解.

情形3.4 $u_{m}+\frac{1}{\rho_{m}}\leq u_{-},\,\,u_{m}\leq u_{+}+\frac{1}{\rho_{+}}$.

情形3.4的讨论类似于情形3.2, 这里省略.

迄今为止, 我们已经完成了所有交互情况的讨论, 也构造出在扰动初值问题(1.1), (1.4) 和(1.5) 的全局解.最后, 总结以下结论.

定理3.1 扰动初值问题(1.1), (1.4) 和(1.5) 的解当$\varepsilon\rightarrow0$时, 收敛于相应的黎曼问题(1.1), (1.4) 和(2.1) 的黎曼解.也就是, 系统(1.1), (1.4) 和(1.5) 的黎曼解在微小的扰动下是稳定的.

参考文献
[1] Aw A, Rascle M. Resurrection of "second order" models of traffic flow. SIAM J Appl Math, 2000, 60: 916–938. DOI:10.1137/S0036139997332099
[2] Bedran M L, Soares V, Araújo M E. Temperature evolution of the FRW universe filled with modified Chaplygin gas. Phys Lett B, 2008, 659: 462–465. DOI:10.1016/j.physletb.2007.11.076
[3] Bilic N, Tupper G B, Viollier R. Dark matter, dark energy and the Chaplygin gas. 2002, arXiv:astroph/0207423
[4] Chaplygin S. On gas jets. Sci Mem Moscow Univ Math Phys, 1904, 21: 1–121.
[5] Chen G Q, Liu H. Formation of δ-shocks and vacuum states in the vanishing pressure limit of solutions to the Euler equations for isentropic fluids. SIAM J Math Anal, 2003, 34: 925–938. DOI:10.1137/S0036141001399350
[6] Chen G Q, Liu H. Concentration and cavitation in the vanishing pressure limit of solutions to the Euler equations for nonisentropic fluids. Physica D, 2004, 189: 141–165. DOI:10.1016/j.physd.2003.09.039
[7] Cheng H J. Delta shock waves for a linearly degenerate hyperbolic system of conservation laws of KeyfitzKranzer type. Advances in Mathematical Physics, 2013, Article ID:958120
[8] Danilov V G, Shelkovich V M. Delta-shock waves type solution of hyperbolic systems of conservation laws. Quart Appl Math, 2005, 63: 401–427. DOI:10.1090/qam/2005-63-03
[9] Gorini V, Kamenshchik A, Moschella U, Pasquier V. The Chaplygin gas as a model for dark energy. 2004, arXiv:gr-qc/0403062
[10] Guo L H, Zhang Y, Yin G. Interactions of delta shock waves for the Chaplygin gas equations with spilt delta functions. J Math Anal Appl, 2014, 410: 190–201. DOI:10.1016/j.jmaa.2013.07.082
[11] Guo L H, Zhang Y, Yin G. Interactions of delta shock waves for the relativistic Chaplygin Euler equations with split delta functions. Math Meth Appl Sci, 2015, 38: 2131–2148.
[12] 黄梅香. 几类非线性双曲守恒律方程组的Riemann问题[D]. 福州: 福州大学, 2016 Huang M X. Riemann Problems of Several Classes of Nonlinear Hyperbolic Conservation Laws Equations[D]. Fuzhou: Fuzhou University, 2016
[13] Keyfitz B L, Kranzer H C. A system of nonstrictly hyperbolic conservation laws arising in elasticity theory. Arch Rational Mech Anal, 1980, 72: 219–241. DOI:10.1007/BF00281590
[14] Korchinski D J. Solutions of a Riemann Problem for 2×a System of Conservation Laws Possessing no Classical Weak Solution[D]. New York:Adelphi University, 1977
[15] Li J Q. Note on the compressible Euler equations with zero temperature. Appl Math Lett, 2001, 14: 519–523. DOI:10.1016/S0893-9659(00)00187-7
[16] Lu Y. Existence of global bounded weak solutions to nonsymmetric systems of Keyfitz-Kranzer type. J Funct Anal, 2011, 261: 2792–2815.
[17] Nedeljkov M. Singular shock waves in interactions. Quart Appl Math, 2008, 66: 281–302. DOI:10.1090/qam/2008-66-02
[18] Nedeljkov M. Delta and singular delta locus for one dimensional systems of conservation laws. Math Methods Appl Sci, 2004, 27: 931–955. DOI:10.1002/(ISSN)1099-1476
[19] Nedeljkov M, Oberguggenberger M. Interactions of delta shock waves in a strictly hyperbolic system of conservation laws. J Math Anal Appl, 2008, 344: 1143–1157. DOI:10.1016/j.jmaa.2008.03.040
[20] Setare M R. Holographic Chaplygin gas model. Phys Lett B, 2007, 648: 329–332. DOI:10.1016/j.physletb.2007.03.025
[21] Shao Z Q, Huang M X. Interactions of delta shock waves for the Aw-Rascle traffic model with split delta functions. J Appl Anal Comput, 2017, 7: 119–133.
[22] Shelkovich V M. δ-and δ'-shock wave types of singular solutions of systems of conservation laws and transport and concentration processes. Russian Math Surveys, 2008, 63: 473–546. DOI:10.1070/RM2008v063n03ABEH004534
[23] Shen C, Sun M. Interactions of delta shock waves for the transport equations with split delta functions. J Math Anal Appl, 2009, 351: 747–755. DOI:10.1016/j.jmaa.2008.11.005
[24] Shen C, Sun M. Stability of the Riemann solutions for a nonstrictly hyperbolic system of conservation laws. Nonlinear Anal TMA, 2010, 73: 3284–3294. DOI:10.1016/j.na.2010.07.008
[25] Shen C, Sun M. Formation of delta shocks and vacuum states in the vanishing pressure limit of Riemann solutions to the perturbed Aw-Rascle model. J Differential Equations, 2010, 249: 3024–3051. DOI:10.1016/j.jde.2010.09.004
[26] Sheng W C, Zhang T. The Riemann Problem for the Transportation Equations in Gas Dynamics. Providence, RI:Amer Math Soc, 1999.
[27] Tan D, Zhang T, Zheng Y. Delta shock waves as limits of vanishing viscosity for hyperbolic system of conservation laws. J Differential Equations, 1994, 112: 1–32. DOI:10.1006/jdeq.1994.1093
[28] Tsien H S. Two dimensional subsonic flow of compressible fluids. J Aeron Sci, 1939, 6: 393–407.