数学物理学报 ›› 2026, Vol. 46 ›› Issue (1): 94-107.

• 研究论文 • 上一篇    下一篇

Hilbert 空间中关于分层变分不等式问题与不动点问题的投影算法

刘佳宇(), 高兴慧*(), 淡鹭涵   

  1. 延安大学数学与计算机科学学院 陕西延安 716000
  • 收稿日期:2025-03-10 修回日期:2025-06-29 出版日期:2026-02-26 发布日期:2026-01-19
  • 通讯作者: 高兴慧 E-mail:3438956880@qq.com;yadxgaoxinghui@163.com
  • 作者简介:刘佳宇, Email: 3438956880@qq.com
  • 基金资助:
    国家自然科学基金(61866038);陕西省特支计划人才项目(2021年)

Projection Algorithm for Hierarchical Variational Inequality Problem and Fixed Point Problem in Hilbert Space

Jiayu Liu(), Xinghui Gao*(), Luhan Dan   

  1. College of Mathematics and Computer Science, Yan'an University, Shaanxi Yan'an 716000
  • Received:2025-03-10 Revised:2025-06-29 Online:2026-02-26 Published:2026-01-19
  • Contact: Xinghui Gao E-mail:3438956880@qq.com;yadxgaoxinghui@163.com
  • Supported by:
    NSFC(61866038);Shaanxi Special Support Plan for High-level Talent Program (2021)

摘要:

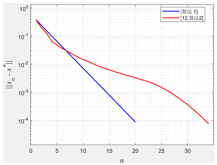
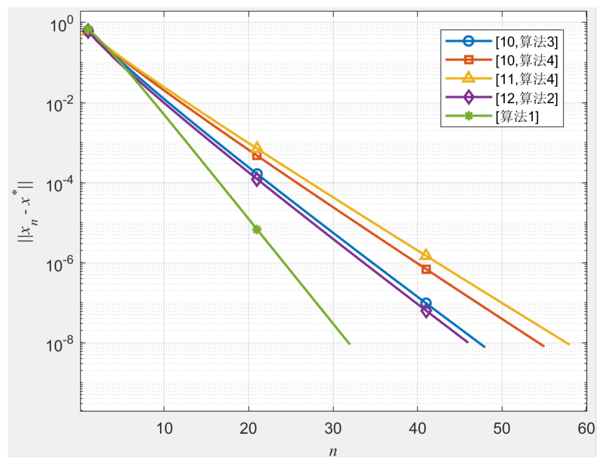
该文在 Hilbert 空间中为了求解分层变分不等式问题与拟非扩张映射不动点问题的公共元给出了一种新的多步惯性正则化算法, 一定条件下, 得出了该算法生成的迭代序列的强收敛定理. 最后, 给出数值例子说明该算法的有效性.

关键词: 分层变分不等式, 多步惯性正则化算法, 强收敛定理

Abstract:

This paper introduces a novel multi-step inertial regularization algorithm in Hilbert spaces, designed to solve the common solution of hierarchical variational inequality problems and quasi-non expansive mapping fixed-point problems. Under certain conditions, the strong convergence theorem for this iterative sequence generated by the algorithm is established. Finally, a numerical example is provided to demonstrate that this algorithm is more efficient than the existing ones.

Key words: hierarchical variational inequalities, multi-step inertial regularization algorithm, strong convergence theorem

中图分类号: 

  • O177.91