1 引言
量子系统中, 经典的贝尔实验通过单一的源将粒子分配给两个或两个以上相距遥远的参与方, 接收到它们在联合物理系统中的份额后, 进行适当的局部测量, 则产生的相关性可能是贝尔非局域的. 贝尔非局域性, 作为一种展现量子系统间非经典关联的特性, 其通常通过观测到贝尔型不等式的违反来验证, 它已成为量子信息和量子计算的一种重要资源[1 ] , 可以应用于许多方面, 如量子密钥分发[2 ] , 量子信息处理[3 ] 和随机展开[4 ] 等.
与经典量子非局域性相比, 网络非局域性表现出全新的量子相关性. 网络非局域性的核心思想是将物理系统分配到网络节点的不同源应该是彼此独立的, 对纠缠粒子的测量产生的每个单独的结果都是由源处相关的变量局部决定的. 这意味着, 两个在空间上相隔遥远的量子系统之间测量结果的概率相关性, 无法用传统的概率相关模型来准确描述, 这一观念超越了经典的贝尔非局域性范畴. 最简单的网络场景是由纠缠交换所呈现, 纠缠交换的过程表明, 适当的测量甚至可以使从未直接相互作用的粒子产生非局部相关性, 这一事实被推广到量子网络领域[5 -12] . Branciard 等提出了量子网络的双局域性概念[5 ,6 ] , 这种类型的非局域性称为非双局域性. Gisin 等则揭示了贝尔不等式与双局域性不等式之间存在着紧密联系, 即任何违反 Clauser-Horne-Shimony-Holt (CHSH) 的纠缠态也会违反双局域性不等式[7 ] . 随后 Tavakoli 等将双局域的思想推广到星型网络, 揭示了星型网络中的局域关联不等式[8 ] ; Andreoli 等推导出一个定理来表征双局域性不等式的最大违反, 并扩展到星形网络的 $n$ 局域性场景[9 ] . 此外, Yang 等研究了树形张量网络的非局域性[12 ] .
近年来, 在两体态非局域性研究不断深入的过程中, 基于以往对两体态非局域性的诸多探索, 研究者们开始思考当各个参与方依次开展多组测量后, 非局域性关联是否仍然持续存在的问题. 由此, Silva 等提出了一个新的非局域性的基本问题, 即纠缠对中单个粒子的非局域性能否在多个相互独立且连续作用的观察者之间共享. 为了回答这一问题, 他们引入了顺序测量情景 (见图1 ), 研究表明, 通过弱测量, 最多有两个 Bob 可以与单个 Alice 违反 CHSH 不等式[13 ] . 这一发现激发了后续大量关于非局域共享性的深入研究[14 -21] , 其中 Mal 等证明自旋为 $\frac{1}{2}$ 的纠缠粒子对的非局域性不能在 Alice 和两个以上的 Bob 之间共享[14 ] . Brown 等则证明了在一种不相等锐度的测量方案下, 存在任意数量个彼此独立的 Alice 可以与单个 Bob 共享最大纠缠态的非局域性[18 ] .
图1
图1
顺序非局域性共享. Alice 与 Bob 最初共享的双量子比特态为 $\rho _{AB}^{\left( 1 \right)}$ , Alice 执行 POVM 并产生一个输出, 随后将所得的态传递给 Alice$_{2}$ . Alice$_{2}$ 接收该态后继续执行 POVM. 继续这一过程, 直到 Alice$_{m}$ 和 Bob 之间共享测后态 $\rho _{AB}^{\left( m \right)}$ .
最近, 关于量子网络的非局域性共享的研究取得了一些重要成果[22 -25] . Hou 等通过弱测量研究了拓展双局域场景中的非局域共享, 并且讨论了该场景下网络非局域共享对带噪声参数的 Werner 态的抵抗性[22 ] . 同时, Zhang 等对星型网络的非局域性的可共享性进行了深入探讨[23 ] . Mahato 等引入了一种新的 "平方和'' 的方法, 对双局域不等式 $(S_{2})_{Q}$ 进行了与维数无关的优化, 并研究了在对称和非对称情况下量子网络中非局域性的顺序共享[24 ] . Wang 等通过弱测量研究了具有任意数量无偏二分类输入 $k$ 的广义星型网络构型中的网络非局域共享, 并分析了星型网络共享对白噪声和有色噪声的抗噪声性[25 ] . 然而, 测量和纠缠生成中的噪声也是不可避免的, 同样会导致量子网络中非局域的衰减[26 -29] .
本文研究星型网络和双局域网络中含噪声的非局域性的共享. 在第 $2$ 节, 回顾星型网络场景和顺序测量场景; 在第 $3$ 节, 介绍当纠缠态生成和正算子值测量 (positive operator-valued measurement 或 POVM) 测量阶段出现噪声时, 顺序测量场景中非局域性共享的充分条件; 在第 $4$ 节, 研究在噪声参数下, 单边和多边顺序 POVM 测量对 $n$ - 局域不等式违反的依赖性, 并把相关结果扩展到双局域网络中. 此外, 还分析在不同噪声的影响下, 与 Bob 共享非局域噪声的 Alice 的最大数目的变化规律.
2 基本概念
2.1 星型网络
我们考虑有 $n$ 个源的星型网络 (如图2 ). 星型网络的概率分布如下
(2.1) $p\left( a_1,\cdots,a_n,b|x_1,\cdots,x_n,y \right) =\int{\left( \prod_{i=1}^n{d\lambda _ip\left( \lambda _i \right) p\left( a_i|x_i,\lambda _i \right)} \right) p\left( b|y,\lambda _1,\cdots,\lambda _n \right)},$
图2
图2
星型网络场景. $n$ 个独立的源 S$_{1}$ , S$_{2}$ , $\cdots$ , S$_{k}$ , $\cdots$ , S$_{n}$ 分别向每个节点 Alice, A$_2$ , $\cdots$ , A$_k$ , $\cdots$ , A$_n$ 和中心节点 Bob 分布纠缠双量子比特态 $\rho_{A_1B}$ , $\rho_{A_2B}$ , $\cdots$ , $\rho_{A_kB}$ , $\cdots$ , $\rho_{A_nB}$ .
其中 $x_i,y,a_i,b=0,1$ . $i=1,\cdots,n.$ 根据文献 [10 ], 其 $n$ - 局域不等式如下
(2.2) $N_{star}=\left| I \right|^{\frac{1}{n}}+\left| J \right|^{\frac{1}{n}}\le 1,$
$\begin{align*} & I=\frac{1}{2^n}\sum_{x_1,\cdots,x_n}{\left< A_{x_1}^{1}\cdots A_{x_n}^{n}B_0 \right>}, \\ & J=\frac{1}{2^n}\sum_{x_1,\cdots,x_n}{\left( -1 \right) ^{\sum_i{x_i}}\left< A_{x_1}^{1}\cdots A_{x_n}^{n}B_1 \right>}, \\ & \left< A_{x_1}^{1}\cdots A_{x_n}^{n}B_y \right> =\sum_{a_1,\cdots,a_n,b}{\left( -1 \right) ^{b+\sum_i{a_i}}p\left( a_1,\cdots,a_n,b|x_1,\cdots,x_n,y \right)}. \end{align*}$
对于真纠缠态 $\rho _{A_1B}\otimes \cdots\otimes \rho _{A_nB}$ , $N_{star}$ 的最大值为
(2.3) $N_{star}^{\max}=\sqrt{\left( \prod_{i=1}^n{t_{1}^{A_i}} \right) ^{\frac{1}{n}}+\left( \prod_{i=1}^n{t_{2}^{A_i}} \right) ^{\frac{1}{n}}},$
其中 $ t_{1}^{A_i} $ 和 $ t_{2}^{A_i} $ 是矩阵 $ T^T\left( \rho _{A_iB} \right) T\left( \rho _{A_iB} \right) $ 的两个最大正特征值, 且 $ t_{1}^{A_i}\ge t_{2}^{A_i} $ . $ T\left( \rho _{A_nB} \right) $ 是关联矩阵, 其元素为 $ t_{i,j}\left( \rho _{A_nB} \right) =tr\left( \rho _{A_nB}\left( \sigma _i\otimes \sigma _j \right) \right) $ , 其中 $ \sigma _i,\sigma _j $ 是标准的泡利矩阵.
当 $ n=2 $ 时, 为双局域网络. 根据文献 [7 ], 双局域不等式的最大值为
(2.4) $S_{biloc}^{\max}=2\sqrt{\sqrt{\xi _1\eta _1}+\sqrt{\xi _2\eta _2}},$
其中 $ \xi_{1} $ 和 $ \xi_{2} $ 是矩阵 $ T^T\left( \rho _{A_1B} \right) T\left( \rho _{A_1B} \right) $ 的两个最大特征值. 同样, $ \eta_{1} $ 和 $ \eta_{2} $ 是矩阵 $ T^T\left( \rho _{A_2B} \right)$ $ T\left( \rho _{A_2B} \right) $ 的两个最大特征值. 根据 CHSH 不等式的 Horodecki 判据[29 ] , $ \rho _{A_1B}\left( \rho _{A_2B} \right) $ 的 CHSH 值的最大值为 $ S_{A_1B}^{\max}=2\sqrt{\xi _1+\xi _2}\left( S_{A_2B}^{\max}=2\sqrt{\eta _1+\eta _2} \right) $ . 同时可以注意到 $ S_{biloc}^{\max}\le\sqrt{S_{A_1B}^{\max}S_{A_2B}^{\max}} $ .
2.2 顺序非局域性共享
我们考虑顺序非局域性共享情形 (如图1 ). 假设 Alice 和 Bob 有二元输入和输出, 且共享一个初始的双量子比特态 $ \rho _{AB}^{\left( 1 \right)} $ . Alice 首先选择一个随机输入并进行相应的 POVM 测量, 然后产生一个输出, 随后将测量后的态发送给 Alice$ _{2} $ , Alice$ _{2} $ 接收该态后重复此操作. 假设 Alice 根据 $ X_1=x $ 执行测量, 然后产生输出 $ A_1=a $ , 那么测量后的态通过 L$ \ddot{\mathrm{u}} $ ders 定理描述如下
$$ \rho _{AB}^{\left( 1 \right)}\mapsto \left( \sqrt{A_{a|x}^{\left( 1 \right)}}\otimes I \right) \rho _{AB}^{\left( 1 \right)}\left( \sqrt{A_{a|x}^{\left( 1 \right)}}\otimes I \right), $$
其中 $ A_{a|x}^{\left( 1 \right)} $ 是对应于 Alice 的输入为 $ x $ 的测量和结果为 $ a $ 的 POVM. 由于每个 Alice 执行的测量是独立于此序列中前面 Alice 的测量选择和结果, 通过递推, Alice$ _{k} $ 和 Bob 之间共享的态则是对 Alice$ _{k-1} $ 的输入和输出进行平均, 即
$$ \rho _{AB}^{\left( k \right)}=\frac{1}{2}\sum_{a,x}{\left( \sqrt{A_{a|x}^{\left( k-1 \right)}}\otimes I \right)}\rho _{AB}^{\left( k-1 \right)}\left( \sqrt{A_{a|x}^{\left( k-1 \right)}}\otimes I \right). $$
(2.5) $\hspace{-2cm} A_{0|0}^{\left( k \right)}=\frac{1}{2}\left( I_2+\sigma _3 \right),$
(2.6) $\hspace{-1.7cm} A_{0|1}^{\left( k \right)}=\frac{1}{2}\left( I_2+\gamma _k\sigma _1 \right),$
(2.7) $B_{0|0}=\frac{1}{2}\left( I_2+\cos \theta \sigma _3+\sin \theta \sigma _1 \right),$
(2.8) $B_{0|1}=\frac{1}{2}\left( I_2+\cos \theta \sigma _3-\sin \theta \sigma _1 \right).$
使得对于任意的初始双量子比特态, 多个独立的 Alice 可以与单个 Bob 共享非局域性. 其中采用具有测量算子的正算子值测量 $ \left\{ E,I_2-E \right\} $ , 测量算子 $ E $ 定义为 $ E=\frac{1}{2}\left( I_2+\gamma \sigma _{\bf{r}} \right) $ . 这里 $ r $ 是一个三维实向量, 且满足 $ \lVert \bf{r} \rVert =1 $ , $ \gamma $ 是一个位于 $ \left[ 0,1 \right] $ 区间内的参数表, 示测量的锐度. 此外 $ \sigma _{\bf{r}} $ 是泡利算子 $ \sigma _1,\sigma _2,\sigma _3 $ 的线性组合, 具体为 $ \sigma _{\bf{r}}=r_1\sigma _1+r_2\sigma _2+r_3\sigma _3 $ .
2.3 噪声环境下非局域性的共享
2.3.1 测量阶段的噪声
假设 Alice$ _{k} $ 和 Bob 进行 (2.5)-(2.8) 式给出的相应测量, $ \lambda_k \in [0,1] $ 用来描述测量算子 $ \left\{ A_{0|0}^{\left( k \right)},A_{1|0}^{\left( k \right)} \right\} $ 的噪声. 类似的, 设 $ \mu _k,\beta _1,\beta _2\in \left[ 0,1 \right], k=1,2,\cdots,n $ 分别描述测量算子 $ \left\{ A_{0|1}^{\left( k \right)},A_{1|1}^{\left( k \right)} \right\},\left\{ B_{0|0},B_{1|0} \right\} $ , $ \left\{ B_{0|1},B_{1|1} \right\} $ 的噪声, 那么含噪声的 POVM 元变成
(2.9) $A_{0|0}^{\left( k \right) noisy}=\lambda_kA_{0|0}^{(k)}+\frac{1-\lambda_k}{2}I_2,$
(2.10) $A_{0|1}^{\left( k \right) noisy}=\mu _kA_{0|1}^{\left( k \right)}+\frac{1-\mu _k}{2}I_2,$
(2.11) $\hspace{-.5cm} B_{0|0}^{noisy}=\beta _1B_{0|0}+\frac{1-\beta _1}{2}I_2,$
(2.12) $\hspace{-.5cm} B_{0|1}^{noisy}=\beta _2B_{0|1}+\frac{1-\beta _2}{2}I_2.$
2.3.2 纠缠生成阶段的噪声
首先, 我们考虑理想情形, 即假设每个源 $ S_{i} $ 都有确定的态 $ \rho =\left| 10 \right> \left< 10 \right| $ . 对第一个量子比特首先应用 Hadamard 门 (H), 然后以其作为控制比特应用 C-NOT 门, 从而生成理想的初始态 $ \rho _{AB}^{\left( 1 \right)}=\left| \phi ^- \right> \left< \phi ^- \right| $ , 其中 $ \left| \phi^- \right> =\frac{1}{\sqrt{2}}\left( \left| 00 \right> -\left| 11 \right> \right) $ . 然而, 在实际应用中, 制备器件的缺陷可能导致混合纠缠态的产生, 这种缺陷在单量子位和双量子位操作中均可能出现. 对于每个源 $ S_{i} $ , 我们假设 $ \alpha $ 和 $ \delta $ 分别表示 H 和 C-NOT 门操作中的噪声参数.
当对一个量子比特应用含有噪声的 H 门后, 态 $ \rho $ 变成
$\begin{split}\rho'&=\alpha \left(\mathcal{H}\otimes I_2\rho \mathcal{H}^{\dagger}\otimes I_2 \right) +\frac{1-\alpha}{2}I_2\otimes \rho _2 \\& =\frac{1}{2}\left( \left| 00 \right> \left< 00 \right|+\left| 10 \right> \left< 10 \right| \right) -\frac{\alpha}{2}\left( \left| 00 \right> \left< 10 \right|+\left| 10 \right> \left< 00 \right| \right),\end{split}$
其中 $ \rho _2=tr_1\left( \rho \right) $ .
对 $ \rho ' $ 应用含有噪声的 C-NOT 门会得到
(2.13) $\begin{split}\bar{\rho}_{AB}^{\left( 1 \right)}&=\delta \left( \text{CNOT}\rho '\left( \text{CNOT} \right) ^{\dagger} \right) +\frac{1-\delta}{4}I_2\otimes I_2 \\& =\frac{1}{4}\left[ \sum_{i,j=0}^1{\left( 1+\left( -1 \right) ^{i+j}\delta \right) \left| ij \right> \left< ij \right|}-2\alpha \delta \left( \left| 11 \right> \left< 00 \right|+\left| 00 \right> \left< 11 \right| \right) \right],\end{split}$
且 $ \bar{\rho}_{AB}^{\left( 1 \right)} $ 的关联矩阵是
(2.14) $T\left( \bar{\rho}_{AB}^{\left( 1 \right)} \right) =\text{diag}\left( -\alpha \delta,\alpha \delta,\delta \right).$
对于上述双输入和输出的两体态 $ \rho_{AB} $ , 假设 $ \langle{A_xB_y}\rangle=\Sigma_{a,b}ab p(ab|xy) $ 为给定测量选择 $ (x,y) $ 的乘积 $ ab $ 的期望值, 态的非局域性可以通过违反 CHSH 贝尔不等式来证明, 即
$I_{\rm CHSH}:=\langle{A_0B_0}\rangle+\langle{A_0B_1}\rangle+\langle{A_1B_0}\rangle-\langle{A_1B_1}\rangle\leq2,$
其中 $ p(ab|xy)=tr[(A_{a|x}\otimes B_{b|y})\rho_{AB}] $ .
根据文献 [21 ], 我们可以得出在噪声环境下, 在 Alice$ _m $ 和 Bob 之间共享的态 $ \rho_{AB}^{(m)} $ 的预期 CHSH 值和共享非局域的持久性条件, 由此给出以下引理.
引理 2.1 对于 (2.13) 式中给出的噪声初始态 $ \bar{\rho}_{AB}^{\left( 1 \right)} $ , 如果 $ k $ 个 Alice 和单个 Bob 各自进行缺陷测量 (2.9)- (2.12) 式, 那么 $ \rho _{AB}^{\left( k \right)} $ 的预期 CHSH 值为
(2.15) $\begin{aligned}& I_{\text{CHSH}}^{\left( k \right) noisy} \\& =2^{1-k}\left( \beta _1+\beta _2 \right) \delta \left[ \lambda _k\cos \theta \prod_{j=1}^{k-1}{\left( 1+\sqrt{1-\mu _{j}^{2}\gamma _{j}^{2}} \right) +\alpha \mu _k\gamma _k\sin \theta \prod_{j=1}^{k-1}{\left( 1+\sqrt{1-\lambda _j^2} \right)}} \right],\end{aligned}$
其中 $ \theta \in ( 0,\frac{\pi}{4} ], \alpha,\delta,\lambda_k,\mu _k,\beta _1,\beta _2,\gamma _k\in \left[ 0,1 \right], k=1,\cdots,n. $
引理 2.2 对于 (2.13) 式中给出的噪声初始态 $ \bar{\rho}_{AB}^{\left( 1 \right)} $ , 如果 $ n $ 个 Alice 和单个 Bob 各自进行缺陷测量 (2.9)- (2.12) 式, 当 $ \lambda_n \left( \beta _1+\beta _2 \right) \delta =2 $ 时, 对于给定的噪声参数 $ \alpha,\mu _k,\lambda _j\in \left( 0,1 \right], k=1,\cdots,n; j=1,\cdots,n-1 $ , 存在 $ n $ 个 Alice 可以与单个 Bob 共享含噪声初始态的非局域性.
3 星型网络中含噪声的非局域共享
3.1 单边测量情形
首先解释星型网络中单边测量下的非局域性共享 (见图3 ).
图3
图3
星型网络场景中单边测量下的非局域性共享. Alice 一侧进行顺序测量, Alice$ _m $ 和 Bob 之间共享的态变为 $ \rho _{A_1B}^{\left( m \right)} $ , 此时网络态由 $ \rho _{AB}^{\left( 1 \right)}\otimes \rho _{A_2B}\otimes \cdots\otimes \rho _{A_nB} $ 变为 $ \rho _{AB}^{\left( m \right)}\otimes \rho _{A_2B}\otimes \cdots\otimes \rho _{A_nB} $ .
假设 Alice 进行 POVM 顺序测量 (2.5)-(2.6) 式, 那么我们可以得到一系列量子态 $ \rho _{A_1B}^{\left( k \right)} $ , 其中 $ k $ 的取值范围为 $ 1 $ 到 $ m $ . 接着考虑含噪声的非局域性共享情况, 其中噪声的初始态均相同, 表示为 $ \bar{\rho}_{A_1B}=\bar{\rho}_{A_2B}=\cdots=\bar{\rho}_{A_nB} $ , 具体形式见 (2.13) 式. 在此基础上, Alice 和 Bob 分别进行噪声测量 (2.9)-(2.10) 式和 (2.11)-(2.12) 式. 我们的目的是验证量子网络态 $ \rho \equiv \rho _{A_1B}^{\left( m \right)}\otimes \bar{\rho}_{A_2B}\otimes \cdots\otimes \bar{\rho}_{A_nB} $ 的网络非局域性.
定理 3.1 对于含噪声的初始态 $ \bar{\rho}_{A_1B}=\bar{\rho}_{A_2B}=\cdots=\bar{\rho}_{A_nB} $ , 和由 Alice, Bob 进行的噪声测量 (2.9)-(2.10) 式, (2.11)-(2.12) 式, 当 $ \lambda_m \left( \beta _1+\beta _2 \right) \delta =2 $ 且 $ \left( \alpha \delta \right) ^{n-1}>\frac{1}{\sqrt{\xi _{1}^{\left( m \right)}+\xi _{2}^{\left( m \right)}}} $ 时, 对于任意 $ n\in \mathbb{N} $ , 量子网络态 $ \rho \equiv \rho _{A_1B}^{\left( m \right)}\otimes \bar{\rho}_{A_2B}\otimes \cdots\otimes \bar{\rho}_{A_nB} $ 具有网络非局域性.
证 通过引理 2.1 和引理 2.2, 我们知道当 $ \lambda_m \left( \beta _1+\beta _2 \right) \delta =2 $ , Alice$ _{m} $ 和 Bob 之间共享的态 $ \rho _{AB}^{\left( m \right)} $ 违反 CHSH 不等式. 根据 Horodecki 判据[30 ] , $ \rho _{AB}^{\left( m \right)} $ 的最大 CHSH 值为 $ S_{AB}^{\left( m \right) \max}=2\sqrt{\xi _{1}^{\left( m \right)}+\xi _{2}^{\left( m \right)}}>2 $ , 其中 $ \xi _{1}^{\left( m \right)},\xi _{2}^{\left( m \right)} $ 是矩阵 $ T^T\left( \rho _{A_1B}^{\left( m \right)} \right) T\left( \rho _{A_1B}^{\left( m \right)} \right) $ 的两个最大特征值. 此时 $ 0<\frac{1}{\sqrt{\xi _{1}^{\left( m \right)}+\xi _{2}^{\left( m \right)}}}<1 $ , 总存在 $ \alpha $ 和 $ \delta $ 使得 $ \left( \alpha \delta \right) ^{n-1}>\frac{1}{\sqrt{\xi _{1}^{\left( m \right)}+\xi _{2}^{\left( m \right)}}} $ . 通过第 3 节我们知道 $ T^T\left(\bar{\rho}_{A_tB}\right) $ $ T\left(\bar{\rho}_{A_tB}\right) $ ($ t=2,\cdots,n $ ) 的两个最大特征值为 $ \delta^2,\alpha ^2\delta ^2 $ . 则 (2.3) 式为
$\begin{aligned}N_{star}^{\max} & = \sqrt{ \left( \xi _{1}^{\left( m \right)}\delta ^{2\left( n-1 \right)} \right)^{\dfrac{1}{n}}+\left( \xi _{2}^{\left( m \right)}\left( \alpha \delta \right) ^{2\left( n-1 \right)}\right) ^{\dfrac{1}{n}}} \\& =\delta ^{\frac{n-1}{n}}\sqrt{\left( \xi _{1}^{\left( m \right)} \right) ^{\dfrac{1}{n}}+\left( \xi _{2}^{\left( m \right)}\alpha ^{2\left( n-1 \right)} \right) ^{\dfrac{1}{n}}}\\& > \delta ^{\frac{n-1}{n}}\sqrt{\xi _{1}^{\left( m \right)}+\xi _{2}^{\left( m \right)}\alpha ^{2\left( n-1 \right)}}.\end{aligned}$
最后一步使用了 $ 0\le \xi _{2}^{\left( m \right)}\le \xi _{1}^{\left( m \right)}\le 1 $ [9 ] 的性质. 接着证明 $ \delta ^{\frac{n-1}{n}}\sqrt{\xi _{1}^{\left( m \right)}+\xi _{2}^{\left( m \right)}\alpha ^{2\left( n-1 \right)}}>1 $ .
当 $ \left( \alpha \delta \right) ^{n-1}>\frac{1}{\sqrt{\xi _{1}^{\left( m \right)}+\xi _{2}^{\left( m \right)}}} $ , 即 $ \frac{1}{\left( \alpha \delta \right) ^{n-1}}<\sqrt{\xi _{1}^{\left( m \right)}+\xi _{2}^{\left( m \right)}} $ , 我们注意到 $ \frac{1}{\alpha ^{n-1}\delta ^{\frac{n-1}{n}}}<\frac{1}{\left( \alpha \delta \right) ^{n-1}} $ , 故 $ \frac{1}{\alpha ^{n-1}\delta ^{\frac{n-1}{n}}}<\sqrt{\xi _{1}^{\left( m \right)}+\xi _{2}^{\left( m \right)}} $ , 即 $ \frac{1}{\delta ^{\frac{n-1}{n}}}<\alpha ^{n-1}\sqrt{\xi _{1}^{\left( m \right)}+\xi _{2}^{\left( m \right)}} $ . 我们还注意到 $ \alpha ^{n-1}\sqrt{\xi _{1}^{\left( m \right)}+\xi _{2}^{\left( m \right)}}<\sqrt{\xi _{1}^{\left( m \right)}+\alpha ^{2\left( n-1 \right)}\xi _{2}^{\left( m \right)}} $ , 故$ \frac{1}{\delta ^{\frac{n-1}{n}}}<\sqrt{\xi _{1}^{\left( m \right)}+\alpha ^{2\left( n-1 \right)}\xi _{2}^{\left( m \right)}} $ , 即 $ \delta ^{\frac{n-1}{n}}\sqrt{\xi _{1}^{\left( m \right)}+\alpha ^{2\left( n-1 \right)}\xi _{2}^{\left( m \right)}}>1 $ , 得证.
特别地, 当 $ n=2 $ 时, 上面的网络就是双局域网络.
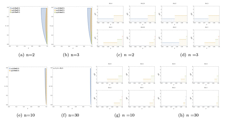
注 3.1 ${\bf 情形一}$ 噪声参数 $ \alpha $ 对星型网络共享非局域性的持久性的影响
假设 $ \delta =\beta _1=\beta _2=\lambda _k=\mu _k=1,k=1,2,\cdots,m $ . 在这种情形下, 我们可以得到 $ S_{AB}^{\left( k \right)}=2^{2-k}\left[ \cos \theta \prod_{j=1}^{k-1}{\left( 1+\sqrt{1-\gamma _{j}^{2}} \right) +\alpha \gamma _k\sin \theta} \right] $ , 当 $ \alpha ^{n-1}>\frac{2}{S_{AB}^{\left( m \right)}} $ 时, 有 $ \alpha ^{n-1}>\frac{2}{S_{AB}^{\left( m \right)}}\geq\frac{2}{S_{AB}^{\left( m \right) \max}}=\frac{1}{\sqrt{\xi _{1}^{\left( m \right)}+\xi _{2}^{\left( m \right)}}} $ . 对于 $ \varepsilon>0 $ , 定义一个序列 $ \gamma _k\left( \alpha,\theta,\varepsilon \right) =\frac{\left( 1+\varepsilon \right) \left[ 2^{k-1}-\alpha ^{n-1}\cos \theta \prod_{j=1}^{k-1}{\left( 1+\sqrt{1-\gamma _{j}^{2}\left( \alpha,\theta,\varepsilon \right)} \right)} \right]}{\alpha ^n\sin \theta} $ , 其中 $ \gamma _1\left( \alpha,\theta,\varepsilon \right) =\frac{\left( 1+\varepsilon \right) \left[ 1-\alpha ^{n-1}\cos \theta \right]}{\alpha ^n\sin \theta} $ , $ 0<\gamma _{k-1}\left( \alpha,\theta,\varepsilon \right) <1 $ , 其中 $ \theta \in \left( 0,\frac{\pi}{4} \right] $ , $ \alpha \in \left( 0,1 \right] $ . 当取定 $ \varepsilon =10^{-5} $ , 我们分别绘制对于 $ k=1,2,3 $ , 满足 $ 0<\gamma _k\left( \alpha,\theta \right) <1 $ 的相应的参数 $ \alpha $ 和 $ \theta $ 的范围 (如图4(a)(b)(e)(f) ), 对于 $ k\ge 4,3,2 $ 的情况, 由于只有很少的 $ \alpha $ 和 $ \theta $ 使得 $ 0<\gamma _k\left( \alpha,\theta \right) <1 $ , 且计算机计算准确性的限制, 我们并没有绘制其图像. 结合上述图, 我们可以清楚的看到对于双局域网络情景, $ (\alpha,\theta) $ 落在给定区间 $ \left( 0,0.9 \right] \times \left[ 0.3,\frac{\pi}{4} \right] $ 时和对于的星型网络情景, $ (\alpha,\theta) $ 落在给定区间 $ \left( 0,0.95 \right] \times \left[ 0.4,\frac{\pi}{4} \right] $ 时, 可以与单个 Bob 共享噪声初始态的非局域性的最大 Alice 的数量 $ n_{A}^{\max} $ . 例如, $ n=2 $ 时, $ \left( \alpha,\theta \right)=(0.8,0.6) $ , 最多有 $ 1 $ 个 Alice 可以与 Bob 共享噪声初始态的非局域性. $ n=3 $ 时, 当 $ \left( \alpha,\theta \right)=(0.9,0.5) $ , 最多有 $ 1 $ 个Alice 可以与 Bob 共享噪声初始态的非局域性; $ n=10 $ 时, 当 $ \left( \alpha,\theta \right)=(0.95, 0.7) $ , 最多有 $ 0 $ 个 Alice 可以与 Bob 共享噪声初始态的非局域性; $ n=30 $ 时, 当 $ \left( \alpha,\theta \right)=(0.95,0.4) $ , 最多有 $ 0 $ 个 Alice 可以与 Bob 共享噪声初始态的非局域性.为了知道双局域网络情景 $ (\alpha,\theta) $ 落在给定区间 $ \left( 0.9,1 \right) \times \left( 0,0.3 \right) $ 的情况和星型网络情景 $ (\alpha,\theta) $ 落在给定区间 $ \left( 0.95, 1 \right) \times \left( 0, 0.4 \right) $ 的情况, 我们绘制了当 $ n $ 为 $ 2 $ 时 $ \theta $ 被固定为 $ 0.4, 0.2, 0.1, 0.05 $ 和 $ n $ 为 $ 3, 10, 30 $ 时 $ \theta $ 被固定为 $ 0.5, 0.3, 0.2, 0.1 $ , $ n_{A}^{\max} $ 依赖于噪声参数 $ \alpha $ 的变化趋势 (如图4(c)(d)(g)(h) ). 从图中我们可以看出 $ \theta $ 被给定时, 如果 $ \alpha $ 从 $ 0.9(0.95) $ 移动到 $ 1 $ , $ n_{A}^{\max} $ 的值增加. 此外当 $ n $ 分别为 $ 2, 3, 10, 30 $ 时, 在所绘的 $ 4 $ 张图中, $ \theta=0.2 $ 时出现了最好的持续性.
图4
图4
(a) $ n=2 $ 时蓝色, 橙色, 绿色分别代表满足 $ \gamma _1\left( \alpha,\theta \right) \in \left( 0,1 \right) $ , $ \gamma _2\left( \alpha,\theta \right) \in \left( 0,1 \right) $ , $ \gamma _3\left( \alpha,\theta \right) \in \left( 0,1 \right) $ 的参数 $ \alpha $ 和$ \theta $ 的范围. (b) $ n=3 $ . (c) $ n=10 $ . (d) $ n=30 $ . (e) $ n=2 $ 时与单个 Bob 共享噪声初始态的非局域性的最大 Alice 的数量 $ n_{A}^{\max} $ 与参数 $ \alpha $ 的关系. (f) $ n=3 $ . (g) $ n=10 $ . (h) $ n=30 $ .
${\bf 情形二}$ 噪声参数 $ \delta $ 对星型网络共享非局域性的持久性的影响
假设 $ \alpha =\beta _1=\beta _2=\lambda _k=\mu _k=1,k=1,2,\cdots,m $ . 在这种情形下, 我们可以得到 $ S_{AB}^{\left( k \right)}=2^{2-k}\delta \left[ \cos \theta \prod_{j=1}^{k-1}{\left( 1+\sqrt{1-\gamma _{j}^{2}} \right) +\gamma _k\sin \theta} \right] $ , 当 $ \delta ^{n-1}>\frac{2}{S_{AB}^{\left( m \right)}} $ 时, 有 $ \delta ^{n-1}>\frac{2}{S_{AB}^{\left( m \right)}}\geq\frac{2}{S_{AB}^{\left( m \right) \max}}=\frac{1}{\sqrt{\xi _{1}^{\left( m \right)}+\xi _{2}^{\left( m \right)}}} $ . 此时对于 $ \varepsilon>0 $ , 定义一个序列 $ \gamma _k\left( \delta,\theta,\varepsilon \right) =\frac{\left( 1+\varepsilon \right) \left[ 2^{k-1}-\delta ^n\cos \theta \prod_{j=1}^{k-1}{\left( 1+\sqrt{1-\gamma _{j}^{2}\left( \delta,\theta,\varepsilon \right)} \right)} \right]}{\delta ^n\sin \theta} $ , 其中 $ \gamma _1\left( \delta,\theta,\varepsilon \right) =\frac{\left( 1+\varepsilon \right) \left( 1-\delta ^n\cos \theta \right)}{\delta ^n\sin \theta} $ , $ 0<\gamma _{k-1}\left( \alpha,\theta,\varepsilon \right) <1 $ , 其中 $ \theta \in \left( 0,\frac{\pi}{4} \right],\alpha \in \left( 0,1 \right] $ . 当取定 $ \varepsilon =10^{-5} $ , 类似 $ \alpha $ 的情况, 我们绘制了相关图像 (如图5(a)(b)(e)(f) ). 可以看到 $ n=2 $ 时, 当 $ \left( \delta,\theta \right)=(0.9,0.5) $ , 最多有 $ 1 $ 个 Alice 可以与 Bob 共享噪声初始态的非局域性; $ n=3 $ 时, 当 $ \left( \delta,\theta \right)=(0.95,0.7) $ , 最多有 $ 1 $ 个 Alice 可以与 Bob 共享噪声初始态的非局域性; $ n=10 $ 时, 当$ \left( \delta,\theta \right)=(0.95,0.4) $ , 最多有 $ 0 $ 个 Alice 可以与 Bob 共享噪声初始态的非局域性; $ n=30 $ 时, 当 $ \left( \delta,\theta \right)=(0.95,0.6) $ , 最多有 $ 0 $ 个 Alice 可以与 Bob 共享噪声初始态的非局域性. 为了知道双局域网络情形 $ (\delta,\theta) $ 落在给定区间 $ \left( 0.9,1 \right) \times \left( 0,0.3 \right) $ 的情况和星型网络情景 $ (\delta,\theta) $ 落在给定区间 $ \left( 0.95,1 \right) \times \left( 0,0.4 \right) $ 的情况, 我们绘制了当 $ n $ 为 $ 2 $ 时 $ \theta $ 被固定为 $ 0.4, 0.25, 0.2, 0.05 $ 和 $ n $ 为 $ 3, 10, 30 $ 时 $ \theta $ 被固定为 0.5, 0.3, 0.2, 0.1, $ n_{A}^{\max} $ 依赖于噪声参数 $ \delta $ 的变化趋势 (如图5(c)(d)(g)(h) ). 从图中我们可以看出 $ \theta $ 被给定时, 如果 $ \delta $ 从 $ 0.9(0.95) $ 移动到 $ 1 $ , $ n_{A}^{\max} $ 的值增加. 此外当 $ n $ 分别为 $ 2, 3, 10, 30 $ 时, 在所绘的 $ 4 $ 张图中, $ \theta=0.2 $ 时出现了最好的持续性.
图5
图5
(a) $ n=2 $ 时蓝色, 橙色, 绿色分别代表满足 $ \gamma _1\left( \delta,\theta \right) \in \left( 0,1 \right) $ , $ \gamma _2\left( \delta,\theta \right) \in \left( 0,1 \right) $ , $ \gamma _3\left( \delta,\theta \right) \in \left( 0,1 \right) $ 的参数 $ \alpha $ 和 $ \theta $ 的范围. (b) $ n=3 $ . (c) $ n=10 $ . (d) $ n=30 $ . (e) $ n=2 $ 时与单个 Bob 共享噪声初始态的非局域性的最大 Alice 的数量 $ n_{A}^{\max} $ 与参数 $ \delta $ 的关系. (f) $ n=3 $ . (g) $ n=10 $ . (h) $ n=30 $ .
3.2 多边测量情形
首先解释星型网络中多边测量下的非局域性共享 (如图6 ).
图6
图6
星型网络场景中多边测量下的非局域性共享. Alice$ _1 $ , A$ _2 $ , $ \cdots $ , A$ _p $ 一侧进行顺序测量, 此时网络态由 $ \rho _{A_1B}\otimes \rho _{A_2B}\otimes \cdots\otimes \rho _{A_nB} $ 变为 $ \rho _{A_1B}^{\left( m \right)}\otimes \rho _{A_2B}^{\left( m \right)}\otimes \cdots\otimes \rho _{A_pB}^{\left( m \right)}\otimes \cdots\otimes \rho _{A_nB} $ .
假设 Alice$ _{1} $ , A$ _{2} $ , $ \cdots, $ A$ _{p} $ 执行 (2.5)- (2.6) 式中所述的顺序 POVM 测量, 就可以得到一系列量子态 $ \rho _{A_1B}^{\left( l \right)} $ , $ \rho _{A_2B}^{\left( l \right)},\rho _{A_pB}^{\left( l \right)},l=1,\cdots,m $ . 接着考虑含噪声的非局域性共享情况, 含噪声的初始态为 $ \bar{\rho}_{A_1B}=\bar{\rho}_{A_2B}=\cdots=\bar{\rho}_{A_nB} $ (2.13) 式, Alice$ _{1} $ , A$ _{2} $ , $ \cdots, $ A$ _{p} $ 进行噪声测量 (2.9)- 2.10) 式. 我们的目标是验证网络态 $ \rho \equiv \rho _{A_1B}^{\left( m \right)}\otimes \rho _{A_2B}^{\left( m \right)}\otimes \cdots\otimes \rho _{A_pB}^{\left( m \right)}\otimes \cdots\otimes \bar{\rho}_{A_nB} $ 的网络非局域性.
定理 3.2 对于含噪声的初始态 $ \bar{\rho}_{A_1B}=\bar{\rho}_{A_2B}=\cdots=\bar{\rho}_{A_nB} $ 和由 Alice$ _{1} $ , A$ _{2} $ , $ \cdots, $ A$ _{p} $ , Bob 进行的噪声测量 (2.9)-(2.10) 式, (2.11)-(2.12) 式. 当 $ \lambda_m \left( \beta _1+\beta _2 \right) \delta =2 $ 且 $ \left( \alpha \delta \right) ^{n-1}>\frac{1}{\sqrt{\xi _{1}^{\left( m \right)}+\xi _{2}^{\left( m \right)}}} $ , 对于任意 $ n\in \mathbb{N} $ , 量子网络态 $ \rho \equiv \rho _{A_1B}^{\left( m \right)}\otimes \rho _{A_2B}^{\left( m \right)}\otimes \cdots\otimes \rho _{A_pB}^{\left( m \right)}\otimes \cdots\otimes \bar{\rho}_{A_nB} $ 具有网络非局域性; 特殊地, $ p=n $ 时, 当 $ \lambda_m \left( \beta _1+\beta _2 \right) \delta =2 $ , 量子网络态 $ \rho \equiv \rho _{A_1B}^{\left( m \right)}\otimes \rho _{A_2B}^{\left( m \right)}\otimes \cdots\otimes \rho _{A_nB}^{\left( m \right)} $ 具有网络非局域性.
证 通过引理 2.1 和引理 2.2, 我们知道当 $ \lambda_m \left( \beta _1+\beta _2 \right) \delta =2 $ , 态 $ \rho _{A_tB}^{\left( m \right)} $ ($ t=1,\cdots,p $ ) 违反 CHSH 不等式. 根据 Horodecki 判据[23 ] , $ \rho _{A_tB}^{\left( m \right)} $ 的最大 CHSH 值为 $ S_{A_tB}^{\left( m \right) \max}=2\sqrt{\xi _{1}^{\left( m \right)}+\xi _{2}^{\left( m \right)}}>2 $ , 其中 $ \xi _{1}^{\left( m \right)},\xi _{2}^{\left( m \right)} $ 是矩阵 $ T^T\left( \rho _{A_tB}^{\left( m \right)} \right) T\left( \rho _{A_tB}^{\left( m \right)} \right) $ 的两个最大特征值. 则 (2.3) 式为
$\begin{aligned}N_{star}^{\max} & =\sqrt{\left( \left( \xi _{1}^{\left( m \right)} \right) ^p\delta ^{2\left( n-p \right)} \right) ^{\dfrac{1}{n}}+\left( \left( \xi _{2}^{\left( m \right)} \right) ^p\left( \alpha ^2\delta ^2 \right) ^{n-p} \right) ^{\dfrac{1}{n}}} \\& =\delta ^{\dfrac{n-p}{n}}\sqrt{\left( \left( \xi _{1}^{\left( m \right)} \right) ^p \right) ^{\dfrac{1}{n}}+\left( \left( \xi _{2}^{\left( m \right)} \right) ^p\alpha ^{2\left( n-p \right)} \right) ^{\dfrac{1}{n}}}\\& >\delta ^{\dfrac{n-p}{n}}\sqrt{\xi _{1}^{\left( m \right)}+\alpha ^{2\left( n-p \right)}\xi _{2}^{\left( m \right)}}\end{aligned}$
因此, 我们的目标是证明 $ \delta ^{\frac{n-p}{n}}\sqrt{\xi _{1}^{\left( m \right)}+\alpha ^{2\left( n-p \right)}\xi _{2}^{\left( m \right)}}>1 $ .
当 $ \left( \alpha \delta \right) ^{n-1}>\frac{1}{\sqrt{\xi _{1}^{\left( m \right)}+\xi _{2}^{\left( m \right)}}} $ , 即 $ \frac{1}{\left( \alpha \delta \right) ^{n-1}}<\sqrt{\xi _{1}^{\left( m \right)}+\xi _{2}^{\left( m \right)}} $ , 我们注意到 $ \frac{1}{\left( \alpha \delta \right) ^{n-p}}<\frac{1}{\left( \alpha \delta \right) ^{n-1}} $ , 故 $ \frac{1}{\left( \alpha \delta \right) ^{n-p}}<\sqrt{\xi _{1}^{\left( m \right)}+\xi _{2}^{\left( m \right)}} $ . 我们还注意到 $ \frac{1}{\alpha ^{n-p}\delta ^{\frac{n-p}{n}}}<\frac{1}{\left( \alpha \delta \right) ^{n-p}} $ , 故 $ \frac{1}{\alpha ^{n-p}\delta ^{\frac{n-p}{n}}}<\sqrt{\xi _{1}^{\left( m \right)}+\xi _{2}^{\left( m \right)}} $ , 即 $ \frac{1}{\delta ^{\frac{n-p}{n}}}<\alpha ^{n-p}\sqrt{\xi _{1}^{\left( m \right)}+\xi _{2}^{\left( m \right)}} $ . 且由于 $ \alpha ^{n-p}\sqrt{\xi _{1}^{\left( m \right)}+\xi _{2}^{\left( m \right)}}<\sqrt{\xi _{1}^{\left( m \right)}+\alpha ^{2\left( n-p \right)}\xi _{2}^{\left( m \right)}} $ , 故 $ \frac{1}{\delta ^{\frac{n-p}{n}}}<\sqrt{\xi _{1}^{\left( m \right)}+\alpha ^{2\left( n-p \right)}\xi _{2}^{\left( m \right)}} $ , 即 $ \delta ^{\frac{n-p}{n}}\sqrt{\xi _{1}^{\left( m \right)}+\alpha ^{2\left( n-p \right)}\xi _{2}^{\left( m \right)}}>1 $ , 得证.
特别地, 对于 $ n=2 $ 的双局域网络我们有下面结论.
定理 3.3 对于含噪声的初始态 $ \bar{\rho}_{A_1B}=\bar{\rho}_{A_2B} $ 和由 Alice$ _1 $ , A$ _2 $ 和 Bob 分别执行的噪声测量 (2.9)-(2.12) 式, 当 $ \lambda_m \left( \beta _1+\beta _2 \right) \delta=2 $ 时, 对于任意 $ n\in \mathbb{N} $ , 由 $ \rho _{A_1B}^{\left( m \right)} $ 和 $ \rho _{A_2B}^{\left( m \right)} $ 张量的量子网络态有网络非局域性.
证 此时 (2.4) 式为 $ S_{biloc}^{\left( n,m \right) \max}=2\sqrt{\sqrt{\xi _{1}^{\left( n \right)}\xi _{1}^{\left( m \right)}}+\sqrt{\xi _{2}^{\left( n \right)}\xi _{2}^{\left( m \right)}}} $ . 根据上述定理, 我们有 $ \rho _{A_tB}^{\left( m \right)} $ 的最大 CHSH 值为 $ S_{A_tB}^{\left( m \right) \max}=2\sqrt{\xi _{1}^{\left( m \right)}+\xi _{2}^{\left( m \right)}}>2 $ , 其中 $ t=1,2 $ .
当 $ n=m $ 时, 双局域等式的最大值为 $ S_{biloc}^{\left( n,n \right) \max}=2\sqrt{\xi _{1}^{\left( n \right)}+\xi _{2}^{\left( n \right)}}=S_{A_tB}^{\left( n \right) \max}>2 $ , 得证. 当 $ n\ne m $ 时, 可以注意到如果两个态 $ \rho _{A_1B}^{\left( n \right)} $ , $ \rho _{A_2B}^{\left( n \right)} $ 都违反 CHSH 不等式, 双局域不等式的违反并不一定成立, 很难判断由 $ \rho _{A_1B}^{\left( n \right)} $ 和 $ \rho _{A_2B}^{\left( m \right)} $ 形成的量子态是否具有网络非局域性.
4 结论
本文通过对二分输入和输出场景的 $n$ - 局域不等式的量子违反, 研究了噪声环境下量子网络中非局域性的顺序共享问题. 量子网络中 CHSH 不等式与 $n$ - 局域不等式之间的关系, 对我们的研究提供了很大启发. 本文考虑了两种噪声来源, 含噪声量子门以及测量过程中的噪声, 研究了在噪声场景下星型网络中单边及多边序列共享下含噪声的非局域性持续共享的条件. 分析了不同类型噪声对该场景非局域性共享持续性的影响, 并针对特定噪声值, 通过数值分析的方法揭示了噪声环境下非局域性共享存在的最大次数及其变化规律. 本文仅考虑了两种类型的噪声, 一种是态生成中的噪声, 另一种是测量阶段的噪声, 此外量子态通过信道传输, 例如 AD 信道传输 PD 信道传输, 而传输过程中的信道噪声也会影响量子非局域性的共享.
参考文献
View Option
[1]
Bennett C H , Wiesner S J . Communication via one-and two-particle operators on Einstein-Podolsky-Rosen states
Physical Review Letters , 1992 , 69 (20 ): Art 2881
[本文引用: 1]
[2]
Acin A , Gisin N , Masanes L . From Bell's theorem to secure quantum key distribution
Physical Review Letters , 2006 , 97 (12 ): Art 120405
[本文引用: 1]
[3]
Masanes L . All bipartite entangled states are useful for information processing
Physical Review Letters , 2006 , 96 (15 ): Art 150501
[本文引用: 1]
[4]
Colbeck R , Kent A . Private randomness expansion with untrusted devices
Journal of Physics A: Mathematical and Theoretical , 2011 , 44 (9 ): Art 095305
[本文引用: 1]
[5]
Branciard C , Gisin N , Pironio S . Characterizing the nonlocal correlations created via entanglement swapping
Physical Review Letters , 2010 , 104 (17 ): Art 170401
[本文引用: 2]
[6]
Branciard C , Rosset D , Gisin N , et al . Bilocal versus nonbilocal correlations in entanglement-swapping experiments
Physical Review A , 2012 , 85 (3 ): Art 032119
[本文引用: 1]
[7]
Gisin N , Mei Q , Tavakoli A , et al . All entangled pure quantum states violate the bilocality inequality
Physical Review A , 2017 , 96 (2 ): Art 020304
[本文引用: 2]
[8]
Tavakoli A , Skrzypczyk P , Cavalcanti D , et al . Nonlocal correlations in the star-network configuration
Physical Review A , 2014 , 90 (6 ): Art 062109
[本文引用: 1]
[9]
Andreoli F , Carvacho G , Santodonato L , et al . Maximal qubit violation of n-locality inequalities in a star-shaped quantum network
New Journal of Physics , 2017 , 19 (11 ): Art 113020
[本文引用: 2]
[10]
Renou M O , Baumer E , Boreiri S , et al . Genuine quantum nonlocality in the triangle network
Physical Review Letters , 2019 , 123 (14 ): Art 140401
[本文引用: 1]
[11]
Contreras-Tejada P , Palazuelos C , de Vicente J I . Genuine multipartite nonlocality is intrinsic to quantum networks
Physical Review Letters , 2021 , 126 (4 ): Art 040501
[12]
Yang L H , Qi X F , Hou J C . Nonlocal correlations in the tree-tensor-network configuration
Physical Review A , 2021 , 104 (4 ): Art 042405
[本文引用: 2]
[13]
Silva R , Gisin N , Guryanova Y , et al . Multiple observers can share the nonlocality of half of an entangled pair by using optimal weak measurements
Physical Review Letters , 2015 , 114 (25 ): Art 250401
[本文引用: 1]
[14]
Mal S , Majumdar A S , Home D . Sharing of nonlocality of a single member of an entangled pair of qubits is not possible by more than two unbiased observers on the other wing
Mathematics , 2016 , 4 (3 ): Art 48
[本文引用: 2]
[15]
Datta S , Majumdar A S . Sharing of nonlocal advantage of quantum coherence by sequential observers
Physical Review A , 2018 , 98 (4 ): Art 042311
[16]
Kumari A , Pan A K . Sharing nonlocality and nontrivial preparation contextuality using the same family of Bell expressions
Physical Review A , 2019 , 100 (6 ): Art 062130
[17]
Saha S , Das D , Sasmal S , et al . Sharing of tripartite nonlocality by multiple observers measuring sequentially at one side
Quantum Information Processing , 2019 , 18 : 1 -15
DOI:10.1007/s11128-018-2112-6
[本文引用: 1]
[18]
Brown P J , Colbeck R . Arbitrarily many independent observers can share the nonlocality of a single maximally entangled qubit pair
Physical Review Letters , 2020 , 125 (9 ): Art 090401
[本文引用: 1]
[19]
Zhang T G , Fei S M . Sharing quantum nonlocality and genuine nonlocality with independent observables
Physical Review A , 2021 , 103 (3 ): Art 032216
[20]
Zhang T G , Luo Q M , Huang X F . Quantum Bell nonlocality cannot be shared under a special kind of bilateral measurements for high-dimensional quantum states
Quantum Information Processing , 2022 , 21 (10 ): Art 350
[21]
Yang S Y , Hou J C , He K . Sharing quantum nonlocality in the noisy scenario
Chinese Physics B , 2023 , 33 (1 ): Art 010302
[本文引用: 2]
[22]
Hou W L , Liu X W , Ren C L . Network nonlocality sharing via weak measurements in the extended bilocal scenario
Physical Review A , 2022 , 105 (4 ): Art 042436
[本文引用: 2]
[23]
Zhang T G , Jing N H , Fei S M . Sharing quantum nonlocality in star network scenarios
Frontiers of Physics , 2023 , 18 (3 ): Art 31302
[本文引用: 2]
[24]
Mahato S S , Pan A K . Sharing nonlocality in a quantum network by unbounded sequential observers
Physical Review A , 2022 , 106 (4 ): Art 042218
[本文引用: 1]
[25]
Wang J H , Wang Y J , Wang L J , et al . Network nonlocality sharing via weak measurements in the generalized star network configuration
Physical Review A , 2022 , 106 (5 ): Art 052412
[本文引用: 2]
[26]
Pearle P M . Hidden-variable example based upon data rejection
Physical Review D , 1970 , 2 (8 ): Art 1418
[本文引用: 1]
[27]
Ralston J P , Jain P , Nodland B . New phenomena in propagation of radio polarizations due to magnetic fields on cosmological scales
Physical Review Letters , 1998 , 81 (1 ): Art 26
[28]
Mukherjee K . Detecting nontrilocal correlations in a triangle network
Physical Review A , 2022 , 106 (4 ): Art 042206
[29]
Mukherjee K , Chakrabarty I , Mylavarapu G . Persistency of non-n-local correlations in noisy linear networks
Physical Review A , 2023 , 107 (3 ): Art 032404
[本文引用: 2]
[30]
Horodecki R , Horodecki P , Horodecki M . Violating Bell inequality by mixed spin-12 states: necessary and sufficient condition
Physics Letters A , 1995 , 200 (5 ): 340 -344
DOI:10.1016/0375-9601(95)00214-N
URL
[本文引用: 1]
Communication via one-and two-particle operators on Einstein-Podolsky-Rosen states
1
1992
... 量子系统中, 经典的贝尔实验通过单一的源将粒子分配给两个或两个以上相距遥远的参与方, 接收到它们在联合物理系统中的份额后, 进行适当的局部测量, 则产生的相关性可能是贝尔非局域的. 贝尔非局域性, 作为一种展现量子系统间非经典关联的特性, 其通常通过观测到贝尔型不等式的违反来验证, 它已成为量子信息和量子计算的一种重要资源[1 ] , 可以应用于许多方面, 如量子密钥分发[2 ] , 量子信息处理[3 ] 和随机展开[4 ] 等. ...
From Bell's theorem to secure quantum key distribution
1
2006
... 量子系统中, 经典的贝尔实验通过单一的源将粒子分配给两个或两个以上相距遥远的参与方, 接收到它们在联合物理系统中的份额后, 进行适当的局部测量, 则产生的相关性可能是贝尔非局域的. 贝尔非局域性, 作为一种展现量子系统间非经典关联的特性, 其通常通过观测到贝尔型不等式的违反来验证, 它已成为量子信息和量子计算的一种重要资源[1 ] , 可以应用于许多方面, 如量子密钥分发[2 ] , 量子信息处理[3 ] 和随机展开[4 ] 等. ...
All bipartite entangled states are useful for information processing
1
2006
... 量子系统中, 经典的贝尔实验通过单一的源将粒子分配给两个或两个以上相距遥远的参与方, 接收到它们在联合物理系统中的份额后, 进行适当的局部测量, 则产生的相关性可能是贝尔非局域的. 贝尔非局域性, 作为一种展现量子系统间非经典关联的特性, 其通常通过观测到贝尔型不等式的违反来验证, 它已成为量子信息和量子计算的一种重要资源[1 ] , 可以应用于许多方面, 如量子密钥分发[2 ] , 量子信息处理[3 ] 和随机展开[4 ] 等. ...
Private randomness expansion with untrusted devices
1
2011
... 量子系统中, 经典的贝尔实验通过单一的源将粒子分配给两个或两个以上相距遥远的参与方, 接收到它们在联合物理系统中的份额后, 进行适当的局部测量, 则产生的相关性可能是贝尔非局域的. 贝尔非局域性, 作为一种展现量子系统间非经典关联的特性, 其通常通过观测到贝尔型不等式的违反来验证, 它已成为量子信息和量子计算的一种重要资源[1 ] , 可以应用于许多方面, 如量子密钥分发[2 ] , 量子信息处理[3 ] 和随机展开[4 ] 等. ...
Characterizing the nonlocal correlations created via entanglement swapping
2
2010
... 与经典量子非局域性相比, 网络非局域性表现出全新的量子相关性. 网络非局域性的核心思想是将物理系统分配到网络节点的不同源应该是彼此独立的, 对纠缠粒子的测量产生的每个单独的结果都是由源处相关的变量局部决定的. 这意味着, 两个在空间上相隔遥远的量子系统之间测量结果的概率相关性, 无法用传统的概率相关模型来准确描述, 这一观念超越了经典的贝尔非局域性范畴. 最简单的网络场景是由纠缠交换所呈现, 纠缠交换的过程表明, 适当的测量甚至可以使从未直接相互作用的粒子产生非局部相关性, 这一事实被推广到量子网络领域[5 -12 ] . Branciard 等提出了量子网络的双局域性概念[5 ,6 ] , 这种类型的非局域性称为非双局域性. Gisin 等则揭示了贝尔不等式与双局域性不等式之间存在着紧密联系, 即任何违反 Clauser-Horne-Shimony-Holt (CHSH) 的纠缠态也会违反双局域性不等式[7 ] . 随后 Tavakoli 等将双局域的思想推广到星型网络, 揭示了星型网络中的局域关联不等式[8 ] ; Andreoli 等推导出一个定理来表征双局域性不等式的最大违反, 并扩展到星形网络的 $n$ 局域性场景[9 ] . 此外, Yang 等研究了树形张量网络的非局域性[12 ] . ...
... [5 ,6 ], 这种类型的非局域性称为非双局域性. Gisin 等则揭示了贝尔不等式与双局域性不等式之间存在着紧密联系, 即任何违反 Clauser-Horne-Shimony-Holt (CHSH) 的纠缠态也会违反双局域性不等式[7 ] . 随后 Tavakoli 等将双局域的思想推广到星型网络, 揭示了星型网络中的局域关联不等式[8 ] ; Andreoli 等推导出一个定理来表征双局域性不等式的最大违反, 并扩展到星形网络的 $n$ 局域性场景[9 ] . 此外, Yang 等研究了树形张量网络的非局域性[12 ] . ...
Bilocal versus nonbilocal correlations in entanglement-swapping experiments
1
2012
... 与经典量子非局域性相比, 网络非局域性表现出全新的量子相关性. 网络非局域性的核心思想是将物理系统分配到网络节点的不同源应该是彼此独立的, 对纠缠粒子的测量产生的每个单独的结果都是由源处相关的变量局部决定的. 这意味着, 两个在空间上相隔遥远的量子系统之间测量结果的概率相关性, 无法用传统的概率相关模型来准确描述, 这一观念超越了经典的贝尔非局域性范畴. 最简单的网络场景是由纠缠交换所呈现, 纠缠交换的过程表明, 适当的测量甚至可以使从未直接相互作用的粒子产生非局部相关性, 这一事实被推广到量子网络领域[5 -12 ] . Branciard 等提出了量子网络的双局域性概念[5 ,6 ] , 这种类型的非局域性称为非双局域性. Gisin 等则揭示了贝尔不等式与双局域性不等式之间存在着紧密联系, 即任何违反 Clauser-Horne-Shimony-Holt (CHSH) 的纠缠态也会违反双局域性不等式[7 ] . 随后 Tavakoli 等将双局域的思想推广到星型网络, 揭示了星型网络中的局域关联不等式[8 ] ; Andreoli 等推导出一个定理来表征双局域性不等式的最大违反, 并扩展到星形网络的 $n$ 局域性场景[9 ] . 此外, Yang 等研究了树形张量网络的非局域性[12 ] . ...
All entangled pure quantum states violate the bilocality inequality
2
2017
... 与经典量子非局域性相比, 网络非局域性表现出全新的量子相关性. 网络非局域性的核心思想是将物理系统分配到网络节点的不同源应该是彼此独立的, 对纠缠粒子的测量产生的每个单独的结果都是由源处相关的变量局部决定的. 这意味着, 两个在空间上相隔遥远的量子系统之间测量结果的概率相关性, 无法用传统的概率相关模型来准确描述, 这一观念超越了经典的贝尔非局域性范畴. 最简单的网络场景是由纠缠交换所呈现, 纠缠交换的过程表明, 适当的测量甚至可以使从未直接相互作用的粒子产生非局部相关性, 这一事实被推广到量子网络领域[5 -12 ] . Branciard 等提出了量子网络的双局域性概念[5 ,6 ] , 这种类型的非局域性称为非双局域性. Gisin 等则揭示了贝尔不等式与双局域性不等式之间存在着紧密联系, 即任何违反 Clauser-Horne-Shimony-Holt (CHSH) 的纠缠态也会违反双局域性不等式[7 ] . 随后 Tavakoli 等将双局域的思想推广到星型网络, 揭示了星型网络中的局域关联不等式[8 ] ; Andreoli 等推导出一个定理来表征双局域性不等式的最大违反, 并扩展到星形网络的 $n$ 局域性场景[9 ] . 此外, Yang 等研究了树形张量网络的非局域性[12 ] . ...
... 当 $ n=2 $ 时, 为双局域网络. 根据文献 [7 ], 双局域不等式的最大值为 ...
Nonlocal correlations in the star-network configuration
1
2014
... 与经典量子非局域性相比, 网络非局域性表现出全新的量子相关性. 网络非局域性的核心思想是将物理系统分配到网络节点的不同源应该是彼此独立的, 对纠缠粒子的测量产生的每个单独的结果都是由源处相关的变量局部决定的. 这意味着, 两个在空间上相隔遥远的量子系统之间测量结果的概率相关性, 无法用传统的概率相关模型来准确描述, 这一观念超越了经典的贝尔非局域性范畴. 最简单的网络场景是由纠缠交换所呈现, 纠缠交换的过程表明, 适当的测量甚至可以使从未直接相互作用的粒子产生非局部相关性, 这一事实被推广到量子网络领域[5 -12 ] . Branciard 等提出了量子网络的双局域性概念[5 ,6 ] , 这种类型的非局域性称为非双局域性. Gisin 等则揭示了贝尔不等式与双局域性不等式之间存在着紧密联系, 即任何违反 Clauser-Horne-Shimony-Holt (CHSH) 的纠缠态也会违反双局域性不等式[7 ] . 随后 Tavakoli 等将双局域的思想推广到星型网络, 揭示了星型网络中的局域关联不等式[8 ] ; Andreoli 等推导出一个定理来表征双局域性不等式的最大违反, 并扩展到星形网络的 $n$ 局域性场景[9 ] . 此外, Yang 等研究了树形张量网络的非局域性[12 ] . ...
Maximal qubit violation of n-locality inequalities in a star-shaped quantum network
2
2017
... 与经典量子非局域性相比, 网络非局域性表现出全新的量子相关性. 网络非局域性的核心思想是将物理系统分配到网络节点的不同源应该是彼此独立的, 对纠缠粒子的测量产生的每个单独的结果都是由源处相关的变量局部决定的. 这意味着, 两个在空间上相隔遥远的量子系统之间测量结果的概率相关性, 无法用传统的概率相关模型来准确描述, 这一观念超越了经典的贝尔非局域性范畴. 最简单的网络场景是由纠缠交换所呈现, 纠缠交换的过程表明, 适当的测量甚至可以使从未直接相互作用的粒子产生非局部相关性, 这一事实被推广到量子网络领域[5 -12 ] . Branciard 等提出了量子网络的双局域性概念[5 ,6 ] , 这种类型的非局域性称为非双局域性. Gisin 等则揭示了贝尔不等式与双局域性不等式之间存在着紧密联系, 即任何违反 Clauser-Horne-Shimony-Holt (CHSH) 的纠缠态也会违反双局域性不等式[7 ] . 随后 Tavakoli 等将双局域的思想推广到星型网络, 揭示了星型网络中的局域关联不等式[8 ] ; Andreoli 等推导出一个定理来表征双局域性不等式的最大违反, 并扩展到星形网络的 $n$ 局域性场景[9 ] . 此外, Yang 等研究了树形张量网络的非局域性[12 ] . ...
... 最后一步使用了 $ 0\le \xi _{2}^{\left( m \right)}\le \xi _{1}^{\left( m \right)}\le 1 $ [9 ] 的性质. 接着证明 $ \delta ^{\frac{n-1}{n}}\sqrt{\xi _{1}^{\left( m \right)}+\xi _{2}^{\left( m \right)}\alpha ^{2\left( n-1 \right)}}>1 $ . ...
Genuine quantum nonlocality in the triangle network
1
2019
... 其中 $x_i,y,a_i,b=0,1$ . $i=1,\cdots,n.$ 根据文献 [10 ], 其 $n$ - 局域不等式如下 ...
Genuine multipartite nonlocality is intrinsic to quantum networks
0
2021
Nonlocal correlations in the tree-tensor-network configuration
2
2021
... 与经典量子非局域性相比, 网络非局域性表现出全新的量子相关性. 网络非局域性的核心思想是将物理系统分配到网络节点的不同源应该是彼此独立的, 对纠缠粒子的测量产生的每个单独的结果都是由源处相关的变量局部决定的. 这意味着, 两个在空间上相隔遥远的量子系统之间测量结果的概率相关性, 无法用传统的概率相关模型来准确描述, 这一观念超越了经典的贝尔非局域性范畴. 最简单的网络场景是由纠缠交换所呈现, 纠缠交换的过程表明, 适当的测量甚至可以使从未直接相互作用的粒子产生非局部相关性, 这一事实被推广到量子网络领域[5 -12 ] . Branciard 等提出了量子网络的双局域性概念[5 ,6 ] , 这种类型的非局域性称为非双局域性. Gisin 等则揭示了贝尔不等式与双局域性不等式之间存在着紧密联系, 即任何违反 Clauser-Horne-Shimony-Holt (CHSH) 的纠缠态也会违反双局域性不等式[7 ] . 随后 Tavakoli 等将双局域的思想推广到星型网络, 揭示了星型网络中的局域关联不等式[8 ] ; Andreoli 等推导出一个定理来表征双局域性不等式的最大违反, 并扩展到星形网络的 $n$ 局域性场景[9 ] . 此外, Yang 等研究了树形张量网络的非局域性[12 ] . ...
... [12 ]. ...
Multiple observers can share the nonlocality of half of an entangled pair by using optimal weak measurements
1
2015
... 近年来, 在两体态非局域性研究不断深入的过程中, 基于以往对两体态非局域性的诸多探索, 研究者们开始思考当各个参与方依次开展多组测量后, 非局域性关联是否仍然持续存在的问题. 由此, Silva 等提出了一个新的非局域性的基本问题, 即纠缠对中单个粒子的非局域性能否在多个相互独立且连续作用的观察者之间共享. 为了回答这一问题, 他们引入了顺序测量情景 (见图1 ), 研究表明, 通过弱测量, 最多有两个 Bob 可以与单个 Alice 违反 CHSH 不等式[13 ] . 这一发现激发了后续大量关于非局域共享性的深入研究[14 -21 ] , 其中 Mal 等证明自旋为 $\frac{1}{2}$ 的纠缠粒子对的非局域性不能在 Alice 和两个以上的 Bob 之间共享[14 ] . Brown 等则证明了在一种不相等锐度的测量方案下, 存在任意数量个彼此独立的 Alice 可以与单个 Bob 共享最大纠缠态的非局域性[18 ] . ...
Sharing of nonlocality of a single member of an entangled pair of qubits is not possible by more than two unbiased observers on the other wing
2
2016
... 近年来, 在两体态非局域性研究不断深入的过程中, 基于以往对两体态非局域性的诸多探索, 研究者们开始思考当各个参与方依次开展多组测量后, 非局域性关联是否仍然持续存在的问题. 由此, Silva 等提出了一个新的非局域性的基本问题, 即纠缠对中单个粒子的非局域性能否在多个相互独立且连续作用的观察者之间共享. 为了回答这一问题, 他们引入了顺序测量情景 (见图1 ), 研究表明, 通过弱测量, 最多有两个 Bob 可以与单个 Alice 违反 CHSH 不等式[13 ] . 这一发现激发了后续大量关于非局域共享性的深入研究[14 -21 ] , 其中 Mal 等证明自旋为 $\frac{1}{2}$ 的纠缠粒子对的非局域性不能在 Alice 和两个以上的 Bob 之间共享[14 ] . Brown 等则证明了在一种不相等锐度的测量方案下, 存在任意数量个彼此独立的 Alice 可以与单个 Bob 共享最大纠缠态的非局域性[18 ] . ...
... [14 ]. Brown 等则证明了在一种不相等锐度的测量方案下, 存在任意数量个彼此独立的 Alice 可以与单个 Bob 共享最大纠缠态的非局域性[18 ] . ...
Sharing of nonlocal advantage of quantum coherence by sequential observers
0
2018
Sharing nonlocality and nontrivial preparation contextuality using the same family of Bell expressions
0
2019
Sharing of tripartite nonlocality by multiple observers measuring sequentially at one side
1
2019
... 在文献 [17 ] 中, 作者提出了一种测量方案 ...
Arbitrarily many independent observers can share the nonlocality of a single maximally entangled qubit pair
1
2020
... 近年来, 在两体态非局域性研究不断深入的过程中, 基于以往对两体态非局域性的诸多探索, 研究者们开始思考当各个参与方依次开展多组测量后, 非局域性关联是否仍然持续存在的问题. 由此, Silva 等提出了一个新的非局域性的基本问题, 即纠缠对中单个粒子的非局域性能否在多个相互独立且连续作用的观察者之间共享. 为了回答这一问题, 他们引入了顺序测量情景 (见图1 ), 研究表明, 通过弱测量, 最多有两个 Bob 可以与单个 Alice 违反 CHSH 不等式[13 ] . 这一发现激发了后续大量关于非局域共享性的深入研究[14 -21 ] , 其中 Mal 等证明自旋为 $\frac{1}{2}$ 的纠缠粒子对的非局域性不能在 Alice 和两个以上的 Bob 之间共享[14 ] . Brown 等则证明了在一种不相等锐度的测量方案下, 存在任意数量个彼此独立的 Alice 可以与单个 Bob 共享最大纠缠态的非局域性[18 ] . ...
Sharing quantum nonlocality and genuine nonlocality with independent observables
0
2021
Quantum Bell nonlocality cannot be shared under a special kind of bilateral measurements for high-dimensional quantum states
0
2022
Sharing quantum nonlocality in the noisy scenario
2
2023
... 近年来, 在两体态非局域性研究不断深入的过程中, 基于以往对两体态非局域性的诸多探索, 研究者们开始思考当各个参与方依次开展多组测量后, 非局域性关联是否仍然持续存在的问题. 由此, Silva 等提出了一个新的非局域性的基本问题, 即纠缠对中单个粒子的非局域性能否在多个相互独立且连续作用的观察者之间共享. 为了回答这一问题, 他们引入了顺序测量情景 (见图1 ), 研究表明, 通过弱测量, 最多有两个 Bob 可以与单个 Alice 违反 CHSH 不等式[13 ] . 这一发现激发了后续大量关于非局域共享性的深入研究[14 -21 ] , 其中 Mal 等证明自旋为 $\frac{1}{2}$ 的纠缠粒子对的非局域性不能在 Alice 和两个以上的 Bob 之间共享[14 ] . Brown 等则证明了在一种不相等锐度的测量方案下, 存在任意数量个彼此独立的 Alice 可以与单个 Bob 共享最大纠缠态的非局域性[18 ] . ...
... 根据文献 [21 ], 我们可以得出在噪声环境下, 在 Alice$ _m $ 和 Bob 之间共享的态 $ \rho_{AB}^{(m)} $ 的预期 CHSH 值和共享非局域的持久性条件, 由此给出以下引理. ...
Network nonlocality sharing via weak measurements in the extended bilocal scenario
2
2022
... 最近, 关于量子网络的非局域性共享的研究取得了一些重要成果[22 -25 ] . Hou 等通过弱测量研究了拓展双局域场景中的非局域共享, 并且讨论了该场景下网络非局域共享对带噪声参数的 Werner 态的抵抗性[22 ] . 同时, Zhang 等对星型网络的非局域性的可共享性进行了深入探讨[23 ] . Mahato 等引入了一种新的 "平方和'' 的方法, 对双局域不等式 $(S_{2})_{Q}$ 进行了与维数无关的优化, 并研究了在对称和非对称情况下量子网络中非局域性的顺序共享[24 ] . Wang 等通过弱测量研究了具有任意数量无偏二分类输入 $k$ 的广义星型网络构型中的网络非局域共享, 并分析了星型网络共享对白噪声和有色噪声的抗噪声性[25 ] . 然而, 测量和纠缠生成中的噪声也是不可避免的, 同样会导致量子网络中非局域的衰减[26 -29 ] . ...
... [22 ]. 同时, Zhang 等对星型网络的非局域性的可共享性进行了深入探讨[23 ] . Mahato 等引入了一种新的 "平方和'' 的方法, 对双局域不等式 $(S_{2})_{Q}$ 进行了与维数无关的优化, 并研究了在对称和非对称情况下量子网络中非局域性的顺序共享[24 ] . Wang 等通过弱测量研究了具有任意数量无偏二分类输入 $k$ 的广义星型网络构型中的网络非局域共享, 并分析了星型网络共享对白噪声和有色噪声的抗噪声性[25 ] . 然而, 测量和纠缠生成中的噪声也是不可避免的, 同样会导致量子网络中非局域的衰减[26 -29 ] . ...
Sharing quantum nonlocality in star network scenarios
2
2023
... 最近, 关于量子网络的非局域性共享的研究取得了一些重要成果[22 -25 ] . Hou 等通过弱测量研究了拓展双局域场景中的非局域共享, 并且讨论了该场景下网络非局域共享对带噪声参数的 Werner 态的抵抗性[22 ] . 同时, Zhang 等对星型网络的非局域性的可共享性进行了深入探讨[23 ] . Mahato 等引入了一种新的 "平方和'' 的方法, 对双局域不等式 $(S_{2})_{Q}$ 进行了与维数无关的优化, 并研究了在对称和非对称情况下量子网络中非局域性的顺序共享[24 ] . Wang 等通过弱测量研究了具有任意数量无偏二分类输入 $k$ 的广义星型网络构型中的网络非局域共享, 并分析了星型网络共享对白噪声和有色噪声的抗噪声性[25 ] . 然而, 测量和纠缠生成中的噪声也是不可避免的, 同样会导致量子网络中非局域的衰减[26 -29 ] . ...
... 证 通过引理 2.1 和引理 2.2, 我们知道当 $ \lambda_m \left( \beta _1+\beta _2 \right) \delta =2 $ , 态 $ \rho _{A_tB}^{\left( m \right)} $ ($ t=1,\cdots,p $ ) 违反 CHSH 不等式. 根据 Horodecki 判据[23 ] , $ \rho _{A_tB}^{\left( m \right)} $ 的最大 CHSH 值为 $ S_{A_tB}^{\left( m \right) \max}=2\sqrt{\xi _{1}^{\left( m \right)}+\xi _{2}^{\left( m \right)}}>2 $ , 其中 $ \xi _{1}^{\left( m \right)},\xi _{2}^{\left( m \right)} $ 是矩阵 $ T^T\left( \rho _{A_tB}^{\left( m \right)} \right) T\left( \rho _{A_tB}^{\left( m \right)} \right) $ 的两个最大特征值. 则 (2.3) 式为 ...
Sharing nonlocality in a quantum network by unbounded sequential observers
1
2022
... 最近, 关于量子网络的非局域性共享的研究取得了一些重要成果[22 -25 ] . Hou 等通过弱测量研究了拓展双局域场景中的非局域共享, 并且讨论了该场景下网络非局域共享对带噪声参数的 Werner 态的抵抗性[22 ] . 同时, Zhang 等对星型网络的非局域性的可共享性进行了深入探讨[23 ] . Mahato 等引入了一种新的 "平方和'' 的方法, 对双局域不等式 $(S_{2})_{Q}$ 进行了与维数无关的优化, 并研究了在对称和非对称情况下量子网络中非局域性的顺序共享[24 ] . Wang 等通过弱测量研究了具有任意数量无偏二分类输入 $k$ 的广义星型网络构型中的网络非局域共享, 并分析了星型网络共享对白噪声和有色噪声的抗噪声性[25 ] . 然而, 测量和纠缠生成中的噪声也是不可避免的, 同样会导致量子网络中非局域的衰减[26 -29 ] . ...
Network nonlocality sharing via weak measurements in the generalized star network configuration
2
2022
... 最近, 关于量子网络的非局域性共享的研究取得了一些重要成果[22 -25 ] . Hou 等通过弱测量研究了拓展双局域场景中的非局域共享, 并且讨论了该场景下网络非局域共享对带噪声参数的 Werner 态的抵抗性[22 ] . 同时, Zhang 等对星型网络的非局域性的可共享性进行了深入探讨[23 ] . Mahato 等引入了一种新的 "平方和'' 的方法, 对双局域不等式 $(S_{2})_{Q}$ 进行了与维数无关的优化, 并研究了在对称和非对称情况下量子网络中非局域性的顺序共享[24 ] . Wang 等通过弱测量研究了具有任意数量无偏二分类输入 $k$ 的广义星型网络构型中的网络非局域共享, 并分析了星型网络共享对白噪声和有色噪声的抗噪声性[25 ] . 然而, 测量和纠缠生成中的噪声也是不可避免的, 同样会导致量子网络中非局域的衰减[26 -29 ] . ...
... [25 ]. 然而, 测量和纠缠生成中的噪声也是不可避免的, 同样会导致量子网络中非局域的衰减[26 -29 ] . ...
Hidden-variable example based upon data rejection
1
1970
... 最近, 关于量子网络的非局域性共享的研究取得了一些重要成果[22 -25 ] . Hou 等通过弱测量研究了拓展双局域场景中的非局域共享, 并且讨论了该场景下网络非局域共享对带噪声参数的 Werner 态的抵抗性[22 ] . 同时, Zhang 等对星型网络的非局域性的可共享性进行了深入探讨[23 ] . Mahato 等引入了一种新的 "平方和'' 的方法, 对双局域不等式 $(S_{2})_{Q}$ 进行了与维数无关的优化, 并研究了在对称和非对称情况下量子网络中非局域性的顺序共享[24 ] . Wang 等通过弱测量研究了具有任意数量无偏二分类输入 $k$ 的广义星型网络构型中的网络非局域共享, 并分析了星型网络共享对白噪声和有色噪声的抗噪声性[25 ] . 然而, 测量和纠缠生成中的噪声也是不可避免的, 同样会导致量子网络中非局域的衰减[26 -29 ] . ...
New phenomena in propagation of radio polarizations due to magnetic fields on cosmological scales
0
1998
Detecting nontrilocal correlations in a triangle network
0
2022
Persistency of non-n-local correlations in noisy linear networks
2
2023
... 最近, 关于量子网络的非局域性共享的研究取得了一些重要成果[22 -25 ] . Hou 等通过弱测量研究了拓展双局域场景中的非局域共享, 并且讨论了该场景下网络非局域共享对带噪声参数的 Werner 态的抵抗性[22 ] . 同时, Zhang 等对星型网络的非局域性的可共享性进行了深入探讨[23 ] . Mahato 等引入了一种新的 "平方和'' 的方法, 对双局域不等式 $(S_{2})_{Q}$ 进行了与维数无关的优化, 并研究了在对称和非对称情况下量子网络中非局域性的顺序共享[24 ] . Wang 等通过弱测量研究了具有任意数量无偏二分类输入 $k$ 的广义星型网络构型中的网络非局域共享, 并分析了星型网络共享对白噪声和有色噪声的抗噪声性[25 ] . 然而, 测量和纠缠生成中的噪声也是不可避免的, 同样会导致量子网络中非局域的衰减[26 -29 ] . ...
... 其中 $ \xi_{1} $ 和 $ \xi_{2} $ 是矩阵 $ T^T\left( \rho _{A_1B} \right) T\left( \rho _{A_1B} \right) $ 的两个最大特征值. 同样, $ \eta_{1} $ 和 $ \eta_{2} $ 是矩阵 $ T^T\left( \rho _{A_2B} \right)$ $ T\left( \rho _{A_2B} \right) $ 的两个最大特征值. 根据 CHSH 不等式的 Horodecki 判据[29 ] , $ \rho _{A_1B}\left( \rho _{A_2B} \right) $ 的 CHSH 值的最大值为 $ S_{A_1B}^{\max}=2\sqrt{\xi _1+\xi _2}\left( S_{A_2B}^{\max}=2\sqrt{\eta _1+\eta _2} \right) $ . 同时可以注意到 $ S_{biloc}^{\max}\le\sqrt{S_{A_1B}^{\max}S_{A_2B}^{\max}} $ . ...
Violating Bell inequality by mixed spin-12 states: necessary and sufficient condition
1
1995
... 证 通过引理 2.1 和引理 2.2, 我们知道当 $ \lambda_m \left( \beta _1+\beta _2 \right) \delta =2 $ , Alice$ _{m} $ 和 Bob 之间共享的态 $ \rho _{AB}^{\left( m \right)} $ 违反 CHSH 不等式. 根据 Horodecki 判据[30 ] , $ \rho _{AB}^{\left( m \right)} $ 的最大 CHSH 值为 $ S_{AB}^{\left( m \right) \max}=2\sqrt{\xi _{1}^{\left( m \right)}+\xi _{2}^{\left( m \right)}}>2 $ , 其中 $ \xi _{1}^{\left( m \right)},\xi _{2}^{\left( m \right)} $ 是矩阵 $ T^T\left( \rho _{A_1B}^{\left( m \right)} \right) T\left( \rho _{A_1B}^{\left( m \right)} \right) $ 的两个最大特征值. 此时 $ 0<\frac{1}{\sqrt{\xi _{1}^{\left( m \right)}+\xi _{2}^{\left( m \right)}}}<1 $ , 总存在 $ \alpha $ 和 $ \delta $ 使得 $ \left( \alpha \delta \right) ^{n-1}>\frac{1}{\sqrt{\xi _{1}^{\left( m \right)}+\xi _{2}^{\left( m \right)}}} $ . 通过第 3 节我们知道 $ T^T\left(\bar{\rho}_{A_tB}\right) $ $ T\left(\bar{\rho}_{A_tB}\right) $ ($ t=2,\cdots,n $ ) 的两个最大特征值为 $ \delta^2,\alpha ^2\delta ^2 $ . 则 (2.3) 式为 ...