1 引言
众所周知, 由于时间分数阶扩散方程通常可以更好地描述不符合经典菲克定律的反常扩散 (超扩散、非高斯扩散、亚扩散) 现象[1 ,2 ] , 因此被广泛地应用于物理、化学、生物、系统识别、控制理论、金融和分数动力学等众多领域[3 -6] . 在过去几十年, 时间分数阶扩散方程正问题已经得到了很好的解决, 然而与之对应的逆问题由于问题的不适定性 (即问题的解不连续地依赖于给定数据), 研究结果相对比较少. 本文我们考虑如下时间分数阶逆扩散问题
(1.1) $\begin{equation}\label{eq:a1} \left\{ \begin{aligned} &_{0}D^\alpha_{t}u(x,t)+u_x(x,t)=0,\quad \, x>0,t>0,\\ &u(x,0)=0,\quad \quad \quad \quad \quad\quad \quad\quad x\geq0,\\ &u(1,t)=f(t),\quad \quad \quad \quad \quad \quad\quad t\geq0,\\ & \lim_{x\to\infty} u(x,t) \hbox{有界},\ \ \quad \quad \quad \quad \, t\geq0, \end{aligned} \right. \end{equation} $
其中 $_{0}D^\alpha_{t}u$ 表示 $\alpha(0<\alpha\leq1)$ 阶 Caputo 分数阶导数, 其定义为
(1.2) $\begin{equation}\label{eq:a2} _{0}D^\alpha_{t}u(x,t)=\left\{ \begin{aligned} & \frac{1}{\Gamma(1-\alpha)}\int_0^t \frac{\partial u(x,s)}{\partial s}\cdot\frac{{\rm d}s}{(t-s)^\alpha},\quad 0<\alpha<1,\\ & \frac{\partial u(x,t)}{\partial t},\quad \quad \quad \alpha=1, \end{aligned} \right. \end{equation}$
这里 $\Gamma(\cdot)$ 为 Gamma 函数. 我们希望根据在 $x=1$ 处给定的 $u(1,t)$ 的数据 $f(t)$ 去确定在 $0\leq x<1$ 区间上 $u(x,t)$ 的值. 在实际问题中 $f(t)$ 只能通过测量得到, 下面假设 $f^{\delta}(t)$ 是观测数据, 满足
$\|f-f^\delta\|\leq\delta,$
其中 $\delta>0$ 为噪声水平, $\|\cdot\|$ 表示 $L^{2}(R)$ 范数.
上面的逆问题也被称为侧边反问题, 它有着较广的应用背景, 比如可以用来描述根据半无限长板内部某处温度场的观测数据恢复板的边界处温度场的分布. 该问题是严重不适定的, 需要使用有效的正则化方法来解决. Murio[7 -9] 最早使用磨光化的方法研究了这类侧边反问题, 之后国内的一些学者分别应用谱正则化方法、迭代正则化方法、修正核正则化方法对该反问题(1.1)开展了研究工作, 见文献[10 -12]. 也有学者对时间分数阶导数, 空间是经典二阶导数的扩散方程侧边反问题进行了研究, 见文献[13 ,14 ]. 与文献[11 ]中的迭代格式不同, 本文尝试应用经典的 Landweber 迭代方法研究问题(1.1). 关于其它类型的时间分数阶微分方程反问题以及 Landweber 迭代正则化方法求解其它反问题的文献读者可参见文献[15 -28]及其参考文献.
本文余下部分结构如下: 第 2 节分析时间分数阶扩散方程侧边反问题的不适定性并给出 Landweber 迭代正则解; 第 3 节分别给出先验条件和后验条件下 Landweber 迭代法中迭代次数的选取准则, 并且给出迭代正则解的收敛性证明; 第 4 节给出一个数值实例, 用以表明 Landweber 迭代正则化方法的有效性; 第 5 节是一个简单的结论.
2 侧边反问题的不适定性和 Landweber 迭代
为了应用 Fourier 变换, 我们对所有的函数关于时间变量 $t$ 在区间 $(-\infty,0]$ 上作零延拓. 用 $\hat{g}(\xi)$ 表示 $g(t)$ 的 Fourier 变换, 即
$\hat{g}(\xi):=\frac{1}{\sqrt{2\pi}}\int_{-\infty}^{+\infty} {\rm e}^{-{\rm i}t\xi}\cdot g(t){\rm d}t.$
利用 Fourier 分析, 易知问题 (1.1) 的解为
(2.1) $\hat{u}(x,\xi)={\rm e}^{({\rm i}\xi)^{\alpha}(1-x)}\hat{f}(\xi),$
(2.2) $u(x,t)=\frac{1}{\sqrt{2\pi}}\int^{\infty}_{-\infty}{\rm e}^{{\rm i}t\xi}{\rm e}^{({\rm i}\xi)^{\alpha}(1-x)}\hat{f}(\xi){\rm d}\xi.$
(2.3) $({\rm i}\xi)^{\alpha}=\left\{\begin{aligned}&|\xi|^{\alpha}(\cos\frac{\alpha\pi}{2}+{\rm i}\sin\frac{\alpha\pi}{2}),\quad \xi\geq0,\\&|\xi|^{\alpha}(\cos\frac{\alpha\pi}{2}-{\rm i}\sin\frac{\alpha\pi}{2}),\quad \xi<0.\end{aligned}\right.$
定义算子$K:L^2(R)\rightarrow L^2(R)$ 如下
(2.4) $Ku:=\frac{1}{\sqrt{2\pi}}\int_{-\infty}^{+\infty} {\rm e}^{(x-1)({\rm i}\xi)^{\alpha}}\hat{u}(x,\xi){\rm e}^{{\rm i}\xi t}{\rm d}\xi, \quad\quad \widehat{Ku}(x,\xi)={\rm e}^{(x-1)({\rm i}\xi)^{\alpha}}\hat{u}(x,\xi).$
$Ku=f^\delta.$
注意到 $({\rm i}\xi)^{\alpha}$ 的实部为$|\xi|^{\alpha}\cos\frac{\alpha\pi}{2}$ , 由于因子 ${\rm e}^{|\xi|^{\alpha}\cos\frac{\alpha\pi}{2}(1-x)}$ 在 $0\leq x<1,|\xi|\rightarrow+\infty$ 时呈指数增长, 因此, 数据 $f(t)$ 的小扰动将被该因子无限放大, 因此根据测量数据 $f^\delta(t)$ 恢复函数 $u(x,t), 0\leq x<1$ 是严重不适定的. 为了解决这个问题, 我们使用 Landweber 迭代法求解. Landweber 迭代法可以视为极小化泛函 $R(u):=\|f^{\delta}-Ku\|^{2}$ 的最速下降法. 给定初始函数 $u_0$ 以及参数 $0<\lambda<1/||K||^2$ , 迭代格式定义为
$u_{m}=(I-\lambda K^*K)u_{m-1}+\lambda K^*f,\quad m=1,2,\cdots\nonumber.$
(2.5) $\widehat{K^* h}:={\rm e}^{(x-1)\cdot \overline{({\rm i}\xi)^\alpha}}\hat{h}(x,\xi).$
(2.6) $\begin{aligned}\hat{u}_{m} &=(1-\lambda\cdot {\rm e}^{2(x-1)Re({\rm i}\xi)^{\alpha}})^{m}\hat{u}_{0}+{\rm e}^{(x-1)\overline{({\rm i}\xi)^{\alpha}}}\hat{f}\left[\frac{1-(1-\lambda {\rm e}^{2(x-1)Re({\rm i}\xi)^{\alpha}})^{m}}{{\rm e}^{2(x-1)Re({\rm i}\xi)^{\alpha}}}\right],\end{aligned}$
取 $\hat{u}_{0}(x,\xi)=0$ , 从而有
(2.7) $\hat{u}_{m}=[1-(1-\lambda {\rm e}^{2(x-1)Re({\rm i}\xi)^{\alpha}})^{m}]\cdot {\rm e}^{(1-x)({\rm i}\xi)^{\alpha}}\hat{f}.$
对给定的扰动数据 ${f}^{\delta}$ , Landweber 迭代正则解 $u^\delta_{m}$ 定义为
(2.8) $\hat{u}^{\delta}_{m}(x,\xi)=\left[1-\left(1-\lambda {\rm e}^{2(x-1)\cdot Re({\rm i}\xi)^{\alpha}}\right)^{m}\right]{\rm e}^{(1-x)({\rm i}\xi)^{\alpha}}\hat{f}^{\delta}.$
(2.9) $u^{\delta}_{m}(x,t)=\lambda\left(\sum^{m-1}_{h=0}(I-\lambda K^*K)^{h}\right)K^*f^{\delta}.$
3 迭代次数选取准则及正则解的误差估计
本节将分别给出先验条件和后验条件下迭代次数的选取准则并证明相应正则解的收敛性.
3.1 先验条件下迭代次数选取准则
定理 3.1 设 $u(x,t)$ 是 (1.1) 式的精确解, $u^{\delta}_{m}(x,t)$ 为 Landweber 迭代解, $\|u(0,t)\|\leq E$ , $\|f^{\delta}-f\|\leq\delta$ , 则以下估计式成立
$\|u(x,t)-u^{\delta}_{m}(x,t)\|\leq E\cdot \lambda^{\frac{x}{2(x-1)}}\mu_{\frac{x}{2(1-x)}}(m+1)^{\frac{x}{2(x-1)}}+\delta\cdot\lambda^{\frac{1}{2}}\cdot m^{\frac{1}{2}},\nonumber$
特别地取 $m=[(\frac{E}{\delta})^{2(1-x)}]$ , 则有
$\begin{aligned}\|u(x,t)-u^{\delta}_{m}(x,t)\| & \leq E^{1-x}\cdot(\lambda^{\frac{x}{2(x-1)}}\mu_{\frac{x}{2(1-x)}}+\lambda^{\frac{1}{2}})\cdot\delta^{x},\quad \forall\quad0\leq x<1.\end{aligned}\nonumber$
其中 $E>0$ 是常数, $\mu_p$ 定义见 (3.3) 式.
(3.1) $\begin{aligned}\|u(x,\cdot)-u^{\delta}_{m}(x,\cdot)\|&=\|\hat{u}(x,\cdot)-\hat{u}^{\delta}_{m}(x,\cdot)\|\\& \leq\|\hat{u}(x,\cdot)-\hat{u}_{m}(x,\cdot)\|+\|\hat{u}_{m}(x,\cdot)-\hat{u}^{\delta}_{m}(x,\cdot)\|\\& \triangleq I_{1}+I_{2}.\end{aligned}$
$\begin{aligned}I_{1}&:=\|\hat{u}(x,\cdot)-\hat{u}_{m}(x,\cdot)\|\nonumber\\&=\|{\rm e}^{({\rm i}\xi)^{\alpha}(x-1)}\hat{f}(\xi)-[1-(1-\lambda {\rm e}^{2(x-1)\cdot Re({\rm i}\xi)^{\alpha}})^{m}]{\rm e}^{(1-x)({\rm i}\xi)^{\alpha}}\hat{f}\|\\&=\|(1-\lambda {\rm e}^{2(x-1)Re({\rm i}\xi)^{\alpha}})^{m}{\rm e}^{(x-1)({\rm i}\xi)^{\alpha}}\hat{f}\|\\&=\|(1-\lambda {\rm e}^{2(x-1)Re({\rm i}\xi)^{\alpha}})^{m}{\rm e}^{-x({\rm i}\xi)^{\alpha}}({\rm e}^{({\rm i}\xi)^{\alpha}}\hat{f})\|\\& \leq E\cdot \sup_{\xi\in R}\mid(1-\lambda {\rm e}^{2(x-1)Re({\rm i}\xi)^{\alpha}})^{m}\cdot {\rm e}^{-xRe({\rm i}\xi)^{\alpha}}\mid.\end{aligned}\nonumber$
由于$Re({\rm i}\xi)^{\alpha}=|\xi|^{\alpha}\cos\frac{\alpha\pi}{2}=a(\xi)$ , 记$s=\lambda {\rm e}^{2(x-1)a(\xi)}$ , 直接计算得
${\rm e}^{-x\cdot a(\xi)}=[{\rm e}^{2(x-1)a(\xi)}]^{\frac{-x}{2(x-1)}}=(\frac{s}{\lambda})^{\frac{-x}{2(x-1)}},$
(3.2) $\begin{aligned}I_{1}& \leq E \cdot \sup_{0\leq s\leq1}|(1-s)^{m}\cdot s^{\frac{x}{2(1-x)}}|\cdot \lambda^{\frac{x}{2(x-1)}}\\& \leq E \cdot \mu_{\frac{x}{2(1-x)}} \cdot (m+1)^{\frac{-x}{2(1-x)}} \cdot \lambda^{\frac{x}{2(x-1)}}.\end{aligned}$
(3.3) $\mu_{p}=\left\{\begin{aligned} & 1 0\leq p\leq1,\\ & p^{p} p>1.\end{aligned}\right.$
$\begin{aligned}I_{2}&:=\|\hat{u}_{m}-\hat{u}^{\delta}_{m}\|\nonumber\\&=\|[1-(1-\lambda {\rm e}^{2(x-1)Re({\rm i}\xi)^{\alpha}})^{m}]\cdot {\rm e}^{(1-x)({\rm i}\xi)^{\alpha}}\cdot (\hat{f}-\hat{f}^{\delta})\|\\& \leq\delta\cdot \sup_{\xi\in R}|[1-(1-\lambda {\rm e}^{2(x-1)a(\xi)})^{m}]\cdot {\rm e}^{(1-x)a(\xi)}|.\end{aligned}\nonumber$
记 $s=\sqrt{\lambda}{\rm e}^{(x-1)a(\xi)}$ , 则 ${\rm e}^{(1-x)a(\xi)}=\frac{\sqrt{\lambda}}{s}$ , 于是有
(3.4) $\begin{aligned}I_{2}& \leq\delta\cdot\sup_{0\leq s\leq1}|[1-(1-s^{2})^{m}]\cdot \frac{\sqrt{\lambda}}{s}|\leq\delta\cdot \lambda^{\frac{1}{2}}\cdot m^{\frac{1}{2}}.\end{aligned}$
(3.5) $\begin{aligned}\|u(x,t)-u^{\delta}_{m}(x,t)\|\leq E\cdot \lambda^{\frac{x}{2(x-1)}}\mu_{\frac{x}{2(1-x)}}(m+1)^{\frac{x}{2(x-1)}}+\delta\cdot\lambda^{\frac{1}{2}}\cdot m^{\frac{1}{2}},\end{aligned}$
特别地取 $m=[(\frac{E}{\delta})^{2(1-x)}]$ , 则有
(3.6) $\begin{aligned}\|u(x,t)-u^{\delta}_{m}(x,t)\| & \leq E^{1-x}\cdot(\lambda^{\frac{x}{2(x-1)}}\mu_{\frac{x}{2(1-x)}}+\lambda^{\frac{1}{2}})\cdot\delta^{x},\quad \forall\quad0\leq x<1.\end{aligned}$
注意到误差估计 (3.6) 式在 $x=0$ 处得不到收敛性, 为了得到 $x=0$ 处的收敛性需要更强的先验条件 $\|u(0,t)\|_{p}\leq E$ , 其中 $\|\cdot\|_{p}$ 表示 Sobolev 空间 $H_{p}(R)$ 的范数, 定义为
$\|u(0,t)\|_{p}=\|(1+\xi^{2})^{\frac{p}{2}}\hat{u}(0,\xi)\|.$
定理 3.2 设 $u(x,t)$ 是 (1) 式的精确解, $u^{\delta}_{m}(x,t)$ 为 Landweber 迭代解, $\|u(0,t)\|_p\leq E$ , 取 $m=[(\frac{E}{\delta})^{2}(\ln\frac{E}{\delta})^{-2p}]$ , 则以下估计式成立
$\begin{aligned}\|u(0,t)-u^{\delta}_{m}(0,t)\|&& \leq C\cdot\bigg[\ln\bigg(\frac{E}{\delta}\bigg(\ln\frac{E}{\delta}\bigg)^{-p}\bigg)\bigg]^{-p}.\end{aligned}\nonumber$
其中 $C>0$ 是与 $\delta$ 无关的常数.
证 由 Parsevel 等式及三角不等式, 可得
$\begin{aligned}\|u(0,t)-u^{\delta}_{m}(0,t)\| & \leq\|\hat{u}(0,t)-\hat{u}_{m}(0,t)\|+\|\hat{u}_{m}(0,t)-\hat{u}^{\delta}_{m}(0,t)\|\\&=I_{3}+I_{4}.\nonumber\end{aligned}$
$\begin{aligned}I_{3}&:=\|\hat{u}(0,\xi)-\hat{u}_{m}(0,\xi)\|\nonumber\\&=\|{\rm e}^{({\rm i}\xi)^{\alpha}}\cdot \hat{f}-[1-(1-\lambda {\rm e}^{-2Re({\rm i}\xi)^{\alpha}})^{m}]\cdot {\rm e}^{({\rm i}\xi)^{\alpha}}\cdot \hat{f}\|\\ & =\|(1-\lambda {\rm e}^{-2Re({\rm i}\xi)^{\alpha}})^{m}\cdot {\rm e}^{({\rm i}\xi)^{\alpha}}\cdot \hat{f}\|\\&=\|(1-\lambda {\rm e}^{-2Re({\rm i}\xi)^{\alpha}})^{m}\cdot (1+\xi^{2})^{-\frac{p}{2}}\cdot[(1+\xi^{2})^{\frac{p}{2}}\cdot {\rm e}^{({\rm i}\xi)^{\alpha}}\cdot \hat{f}]\|\\& \leq E\cdot \sup_{\xi\in R}|(1-\lambda {\rm e}^{-2a(\xi)})^{m}\cdot(1+\xi^{2})^{-\frac{p}{2}}|.\end{aligned}\nonumber$
注意到当 $|\xi|\leq1$ 时, $a(\xi)=Re({\rm i}\xi)^{\alpha}=|\xi|^{\alpha}\cos\frac{\alpha\pi}{2}\leq|\xi|^{\alpha}\leq\sqrt{1+\xi^{2}}$ ; 当 $|\xi|>1$ 时, $a(\xi)=Re({\rm i}\xi)^{\alpha}=|\xi|^{\alpha}\cos(\frac{\alpha\pi}{2})\leq|\xi|^{\alpha}\leq|\xi|<\sqrt{|\xi|^{2}+1}$ . 令 $t=\sqrt{1+\xi^{2}}$ , 则有
$\begin{aligned}(1-\lambda {\rm e}^{-2a(\xi)})^{m}\cdot(1+\xi^{2})^{-\frac{p}{2}}& \leq(1-\lambda {\rm e}^{-2\sqrt{|\xi|^{2}+1}})^{m}\cdot(1+|\xi|^{2})^{-\frac{p}{2}}\\ & \leq\sup_{t\geq1}(1-\lambda {\rm e}^{-2t})^{m}\cdot t^{-p}.\end{aligned}\nonumber$
$I_{3}\leq E\cdot\sup_{t\geq1}(1-\lambda {\rm e}^{-2t})^{m}\cdot t^{-p}.$
(i) 当 $t\geq\frac{1}{4}\ln(m+1)>1$ 时, 取 $m=[(\frac{E}{\delta})^{2}(\ln(\frac{E}{\delta}))^{-2p}]$ ,
$\begin{aligned}I_{3}& \leq E\cdot(\frac{1}{4}\ln(m+1))^{-p}=E\cdot 4^{p}\cdot\frac{1}{(\ln(m+1))^{p}}\\ & <E\cdot 4^{p}\cdot\frac{1}{(\ln m)^{p}}\leq E\cdot 4^{p}\cdot\frac{1}{[2\ln(\frac{E}{\delta}\cdot(\ln\frac{E}{\delta})^{-p})]^{p}}\\ & =E\cdot 2^{p}\cdot\bigg[\ln\bigg(\frac{E}{\delta}\cdot\bigg(\ln\frac{E}{\delta}\bigg)^{-p}\bigg)\bigg]^{-p}.\end{aligned}\nonumber$
(ii) 当 $1\leq t\leq\frac{1}{4}\ln(m+1)$ 时, ${\rm e}^{t}<{\rm e}^{\frac{1}{4}\ln(m+1)}=(m+1)^{\frac{1}{4}}$ , 取 $s=\lambda {\rm e}^{-2t}$ , 于是
$\begin{aligned}I_{3}& \leq E\cdot \sup_{1\leq t\leq\frac{1}{4}\ln(m+1)}(1-\lambda {\rm e}^{-2t})^{m}\nonumber\\& \leq E\cdot\sup_{1\leq t\leq\frac{1}{4}\ln(m+1)}[(1-\lambda {\rm e}^{-2t})^{m}{\rm e}^{-t}]{\rm e}^{t}\\&=E\cdot(m+1)^{\frac{1}{4}}\sup_{0<s<1}\bigg[(1-s)^{m}\cdot\bigg(\frac{s}{\lambda}\bigg)^{\frac{1}{2}}\bigg]\\& \leq\frac{E}{\sqrt{\lambda}}\mu_{\frac{1}{2}}(m+1)^{-\frac{1}{2}}\cdot(m+1)^{\frac{1}{4}}\\&=\frac{E}{\sqrt{\lambda}}\cdot(m+1)^{-\frac{1}{4}}<\frac{E}{\sqrt{\lambda}}\cdot m^{-\frac{1}{4}}.\end{aligned}\nonumber$
结合 (i), (ii), 当取 $m=[(\frac{E}{\delta})^{2}(\ln\frac{E}{\delta})^{-2p}]$ 时, 可得 $I_3$ 的估计
$I_{3}\leq E\cdot 2^{p}\bigg[\ln\bigg(\frac{E}{\delta}\bigg(\ln\frac{E}{\delta}\bigg)^{-p}\bigg)\bigg]^{-p}.\nonumber$
对 $I_4$ , 取 $s=\sqrt{\lambda}{\rm e}^{(x-1)a(\xi)}$ , 直接计算可知
$\begin{aligned}I_{4}&:=\|[1-(1-\lambda {\rm e}^{-2a(\xi)})^{m}]{\rm e}^{({\rm i}\xi)^{\alpha}}\cdot(\hat{f}-\hat{f}^{\delta})\|\\& \leq\delta\cdot\sup_{\xi\in R}|[1-(1-\lambda {\rm e}^{-2a(\xi)})^{m}]{\rm e}^{a(\xi)}|\\&=\delta\cdot\sup_{0\leq s<1}\bigg|[1-(1-s^{2})^{m}]\cdot\frac{\sqrt{\lambda}}{s}\bigg|\\& \leq\delta\cdot\lambda^{\frac{1}{2}}\cdot m^{\frac{1}{2}}\\&=E\cdot \lambda^{\frac{1}{2}}\cdot\bigg(\ln\frac{E}{\delta}\bigg)^{-p}.\end{aligned}\nonumber$
(3.7) $\begin{aligned}\|u(0,t)-u^{\delta}_{m}(0,t)\|& \leq E\cdot\lambda^{\frac{1}{2}}\bigg(\ln\frac{E}{\delta}\bigg)^{-p}+E\cdot2^{p}\cdot\bigg[\ln\bigg(\frac{E}{\delta}\cdot\bigg(\ln\frac{E}{\delta}\bigg)^{-p}\bigg)\bigg]^{-p}\\& \leq C\cdot\bigg[\ln\bigg(\frac{E}{\delta}\bigg(\ln\frac{E}{\delta}\bigg)^{-p}\bigg)\bigg]^{-p}.\end{aligned}$
3.2 后验的迭代次数选取原则
迭代次数选取原则: 取 $m^{*}=m(\delta)$ 是满足条件 $\rho(m):=\|Ku^{\delta}_{m}-f^{\delta}\|\leq\tau\cdot\delta $ 的最小正整数 m, 其中 $\tau>1$ 是常数.
(3.8) $\begin{aligned}\rho(m) & =\|Ku^{\delta}_{m}-f\|=\|\widehat{Ku^{\delta}_{m}}-\hat{f}^{\delta}\|\\&=\|{\rm e}^{(x-1)\cdot({\rm i}\xi)^{\alpha}}[1-(1-\lambda {\rm e}^{2(x-1)\cdot Re({\rm i}\xi)^{\alpha}})^{m}]\cdot {\rm e}^{(1-x)\cdot({\rm i}\xi)^{\alpha}}\cdot \hat{f}^{\delta}-\hat{f}^{\delta}\|\\&=\|(1-\lambda {\rm e}^{2(x-1)\cdot Re({\rm i}\xi)^{\alpha}})^{m}\cdot \hat{f}^{\delta}\|.\end{aligned}$
定理 3.1 设 $\|f^{\delta}-f\|\leq\delta$ , $\|\hat{f}^{\delta}\|>\tau\delta$ , $\tau>1$ 是常数, 则 $\rho(m)$ 满足
(i) $\rho(m)$ 为连续函数, 且关于 m 严格单调递减;
(ii) $\lim_{m\to 0^{+}}\rho(m)=\|\hat{f}^{\delta}\|$ ;
(iii) $\lim_{m\to +\infty}\rho(m)=0$ .
$m^{*}\leq\left(\frac{E\cdot\mu_{\frac{1}{2(1-x)}}}{\tau-1}\right)^{2(1-x)}\cdot\frac{\gamma^{2(x-1)}}{\lambda}.$
$\begin{aligned}\tau\delta&<\|(1-\lambda {\rm e}^{2(x-1)\cdot Re({\rm i}\xi)^{\alpha}})^{m}\hat{f}^{\delta}(\xi)\|\\& \leq\|(1-\lambda {\rm e}^{2(x-1)\cdot Re({\rm i}\xi)^{\alpha}})^{m}(\hat{f}^{\delta}-\hat{f})\|+\|(1-\lambda {\rm e}^{2(x-1)\cdot Re({\rm i}\xi)^{\alpha}})^{m}\hat{f}\|\\& \leq\delta+\|(1-\lambda {\rm e}^{2(x-1)\cdot Re({\rm i}\xi)^{\alpha}})^{m}\cdot {\rm e}^{-({\rm i}\xi)^{\alpha}}\cdot[{\rm e}^{({\rm i}\xi)^{\alpha}}\hat{f}]\|\\&=\delta+E\cdot \sup_{\xi}|(1-\lambda {\rm e}^{2(x-1)a(\xi)})^{m}\cdot {\rm e}^{-a(\xi)}|\,\end{aligned}\nonumber$
$(\tau-1)\delta<E\cdot\mu_{\frac{1}{2(1-x)}}\cdot(m+1)^{\frac{1}{2(x-1)}}\lambda^{\frac{1}{2(x-1)}}.$
$(m+1)^{\frac{1}{2(1-x)}}<\frac{E\mu_{\frac{1}{2(1-x)}}}{\tau-1}\cdot\frac{\lambda^{\frac{1}{2(x-1)}}}{\delta},$
$m^{*}\leq\left(\frac{E\cdot\mu_{\frac{1}{2(1-x)}}}{\tau-1}\right)^{2(1-x)}\cdot\frac{\delta^{2(x-1)}}{\lambda}.$
定理 3.3 设 $u(x,t)$ 是 (1) 式的精确解, $u^{\delta}_{m}(x,t)$ 为 Landweber 迭代解, $\|u(0,t)\|\leq E$ , $ \|f^{\delta}\|>\tau\delta, \tau>1 $ , $m=m^{*}$ , 则对 $\forall x\in(0,1)$ , 以下估计式成立
$\begin{equation} \begin{aligned} \|u^{\delta}_{m}(x,\cdot)-u(x,\cdot)\|& \leq E^{1-x}[(\tau+1)^{x}+\left(\frac{\mu_{\frac{1}{2(1-x)}}}{\tau-1}\right)^{1-x}]\cdot\delta^{x} \end{aligned}\nonumber \end{equation}$
证 由 Parsevel 等式及三角不等式, 可得
$\|u^{\delta}_{m}-u\|=\|\hat{u}^{\delta}_{m}-\hat{u}\|\leq\|\hat{u}_{m}-\hat{u}\|+\|\hat{u}^{\delta}_{m}-\hat{u}_{m}\|\triangleq I_{1}+I_{2}.$
$\begin{aligned}I_{1}&=\|\hat{u}_{m}-\hat{u}\|\\&=\|(1-\lambda {\rm e}^{2(x-1)Re({\rm i}\xi)^{\alpha}})^{m}\cdot {\rm e}^{(1-x)({\rm i}\xi)^{\alpha}}\hat{f}\|\\&=\|[(1-\lambda {\rm e}^{2(x-1)Re({\rm i}\xi)^{\alpha}})^{m(1-x)}\cdot {\rm e}^{(1-x)({\rm i}\xi)^{\alpha}}\cdot(\hat{f})^{1-x}]\cdot[(1-\lambda {\rm e}^{2(x-1)Re({\rm i}\xi)^{\alpha}})^{mx}\cdot(\hat{f})^{x}]\|\\& \leq\|(1-\lambda {\rm e}^{2(x-1)Re({\rm i}\xi)^{\alpha}})^{m}\cdot {\rm e}^{({\rm i}\xi)^{\alpha}}\hat{f}\|^{1-x}\cdot\|(1-\lambda {\rm e}^{2(x-1)Re({\rm i}\xi)^{\alpha}})^{m}\hat{f}\|^{x}\\& \leq E^{1-x}\cdot\|(1-\lambda {\rm e}^{2(x-1)Re({\rm i}\xi)^{\alpha}})^{m}\hat{f}\|^{x}\\& \leq E^{1-x}\cdot[\|(1-\lambda {\rm e}^{2(x-1)Re({\rm i}\xi)^{\alpha}})^{m}\cdot(\hat{f}-\hat{f}^{\delta})\|+\|(1-\lambda {\rm e}^{2(x-1)Re({\rm i}\xi)^{\alpha}})^{m}\hat{f}^{\delta}\|]^{x}\\& \leq E^{1-x}\cdot[\delta+\tau\delta]^x\nonumber.\end{aligned}$
$I_{1}\leq E^{1-x}\cdot(\tau+1)^{x}\cdot\delta^{x}.\nonumber$
$\begin{aligned}I_{2}& \leq\delta\cdot\lambda^{\frac{1}{2}}\cdot m^{\frac{1}{2}}\leq\delta\cdot\lambda^{\frac{1}{2}}\cdot\left(\frac{E\cdot\mu_{\frac{1}{2(1-x)}}}{\tau-1}\right)^{1-x}\cdot\frac{\delta^{(x-1)}}{\lambda^{\frac{1}{2}}}=\left(\frac{E\cdot\mu_{\frac{1}{2(1-x)}}}{\tau-1}\right)^{1-x}\cdot\delta^{x}.\end{aligned}\nonumber$
综上所述, 在后验原则下 Landweber 迭代正则解有下面的收敛性估计
$\begin{aligned}\|u^{\delta}_{m}(x,\cdot)-u(x,\cdot)\|\leq I_{1}+I_{2}& \leq E^{1-x}\cdot[(1+\tau)^{x}+\left(\frac{\mu_{\frac{1}{2(1-x)}}}{\tau-1}\right)^{1-x}]\cdot\delta^{x}].\end{aligned}\nonumber$
$\begin{aligned}\rho(m)&:=\|Ku^{\delta}_{m}-f\|=\|(1-\lambda {\rm e}^{-2 Re({\rm i}\xi)^{\alpha}})^{m}\cdot\hat{f}^{\delta}\|.\end{aligned}\nonumber$
迭代次数选取原则: 取 $m^{*}=m(\delta)$ 为满足条件 $\rho(m)\leq\delta+\tau\delta^{1-\varepsilon}$ 的最小正整数 m, 其中 $0<\varepsilon<1$ .
引理 3.3 设 $\|u(0,t)\|_{p}\leq E$ , $\|\hat{f}^{\delta}\|\geq(1+\tau)\delta^{\frac{1-\varepsilon}{2}}$ , 选取$m^{*}$ 满足上述选取准则, 则有
$ m^{*}\leq\frac{\mu^2_{\frac{1}{2}}\cdot E^2}{\tau^2\lambda}\cdot\frac{1}{\delta^{2(1-\varepsilon)}},\quad m^{*}\geq\frac{1}{\ln(1-\lambda)}\cdot\ln\left(\frac{\delta+\tau\delta^{(1-\varepsilon)}}{\|\hat{f}^{\delta}\|}\right). $
证 对 $m<m^{*}$ , 由 $m^{*}$ 的定义知
(3.9) $\begin{aligned}\delta+\tau\delta^{1-\varepsilon}&<\|(1-\lambda {\rm e}^{2(x-1)Re({\rm i}\xi)^{\alpha}})^{m}\cdot\hat{f}^{\delta}\|\\& \leq\|(1-\lambda {\rm e}^{2(x-1)Re({\rm i}\xi)^{\alpha}})^{m}\cdot(\hat{f}^{\delta}-\hat{f})\|+\|(1-\lambda {\rm e}^{2(x-1)Re({\rm i}\xi)^{\alpha}})^{m}\cdot\hat{f}\|\\& \leq\delta+E\cdot\mu_{\frac{1}{2}}\cdot\lambda^{-\frac{1}{2}}\cdot(m+1)^{-\frac{1}{2}}.\end{aligned}$
从而有 $(m+1)^{\frac{1}{2}}\leq\frac{E\cdot\mu_{\frac{1}{2}}\cdot\lambda^{-\frac{1}{2}}}{\tau}\cdot\delta^{\varepsilon-1} =\frac{E\cdot\mu_{\frac{1}{2}}}{\tau\cdot\lambda^{\frac{1}{2}}\cdot\delta^{1-\varepsilon}}$ , 即 $(m^{*})^{\frac{1}{2}}\leq\frac{E\cdot\mu_{\frac{1}{2}}}{\rho\cdot\lambda^{\frac{1}{2}}\cdot\delta^{1-\varepsilon}}$ . 另外, 对 $m=m^{\ast}$
$\begin{aligned}\delta+\tau\delta^{1-\varepsilon}& \geq\|(1-\lambda {\rm e}^{2(x-1)Re({\rm i}\xi)^{\alpha}})^{m}\hat{f}^{\delta}\|\nonumber\\& \geq\|\hat{f}^{\delta}\|\cdot \inf_{\xi\in R}(1-\lambda {\rm e}^{2(x-1)Re({\rm i}\xi)^{\alpha}})^{m}\\& \geq\|\hat{f}^{\delta}\|\cdot(1-\lambda)^{m}.\end{aligned}$
根据 $\|\hat{f}^{\delta}\|\geq(1+\tau)\delta^{\frac{1-\varepsilon}{2}}$ , 则有
$\ln\bigg[\frac{\delta+\tau\delta^{1-\varepsilon}}{\|\hat{f}^{\delta}\|}\bigg]\geq m\cdot\ln(1-\lambda),\quad m^{*}\geq\frac{1}{\ln(1-\lambda)}\cdot\ln\left(\frac{\delta+\tau\delta^{1-\varepsilon}}{\|\hat{f}^{\delta}\|}\right).$
定理 3.4 设 $u(x,t)$ 是 (1) 式的精确解, $u^{\delta}_{m}(x,t)$ 为 Landweber 迭代解, $\|u(0,t)\|_p\leq E$ , $m=m^*$ 满足选取原则, 则以下估计式成立
$\|u^{\delta}_{m}(0,t)-u(0,t)\|\leq C\cdot\frac{1}{\ln^{p}(\ln\frac{1}{\delta})}.\nonumber$
证 由 Parsevel 等式及三角不等式, 可知
$\begin{aligned}\|u^{\delta}_{m}(0,t)-u(0,t)\|& \leq\|\hat{u}^{\delta}_{m}(0,\xi)-\hat{u}_{m}(0,\xi)\|+\|\hat{u}_{m}(0,\xi)-\hat{u}(0,\xi)\|\nonumber\\& \triangleq I_{3}+I_{4}.\end{aligned}\nonumber$
$\begin{aligned}I_{3}&=\|\hat{u}^{\delta}_{m}(0,\xi)-\hat{u}_{m}(0,\xi)\|\nonumber=\|(1-(1-\lambda r^{-2a(\xi)}))^{m}{\rm e}^{({\rm i}\xi)^{\alpha}}(\hat{f}^{\delta}-\hat{f})\|.\end{aligned}$
$\begin{aligned}I_{3}& \leq\delta\cdot\lambda^{\frac{1}{2}}\cdot m^{\frac{1}{2}}\leq\delta\cdot\lambda^{\frac{1}{2}}\cdot \frac{E\cdot\mu_{\frac{1}{2}}}{\tau\cdot\lambda^{\frac{1}{2}}\cdot\delta^{1-\varepsilon}}=\frac{E\cdot\mu_{\frac{1}{2}}}{\tau}\cdot\delta^{\varepsilon}.\end{aligned}\nonumber$
$\begin{aligned}I_{4}&=\|\hat{u}_{m}(0,\xi)-\hat{u}(0,\xi)\|=\|(1-\lambda {\rm e}^{-2Re({\rm i}\xi)^{\alpha}})^{m}{\rm e}^{({\rm i}\xi)^{\alpha}}\cdot\hat{f}\|\\&=\|(1-\lambda {\rm e}^{-2a(\xi)})^{m}\cdot(1+\xi^{2})^{-\frac{p}{2}}\cdot[(1+\xi^{2})^{\frac{p}{2}}\cdot {\rm e}^{({\rm i}\xi)^{\alpha}}\cdot\hat{f}]\|\\& \leq E_{p}\cdot\sup_{\xi\in R}(1-\lambda {\rm e}^{-2a(\xi)})^{m}\cdot(1+\xi^{2})^{-\frac{p}{2}}\nonumber.\end{aligned}$
令 $t:=\sqrt{1+|\xi|^{2}}$ , 当 $\delta\rightarrow0$ , m 充分大时, 有 $4^{p}(\ln(m+1))^{-p}>\lambda^{\frac{1}{2}}(m+1)^{-\frac{1}{4}}$ , 从而
$\begin{aligned}I_{4}& \leq C_{p}\cdot E_{p}\cdot\sup_{t\geq1}[(1-\lambda {\rm e}^{-2t})^{m}\cdot t^{-p}]\nonumber\\& \leq C_{p}\cdot E_{p}\cdot\max\left\{4^{p}(\ln(m+1))^{-p},\lambda^{\frac{1}{2}}(m+1)^{-\frac{1}{4}}\right\}\\& \leq C_{p}\cdot E_{p}\cdot4^{p}(\ln m)^{-p}\\& \leq C_{p}\cdot E_{p}\cdot4^{p}\cdot\left[\ln\left(\frac{1}{\ln(1-\lambda)}\cdot\ln\left(\frac{\delta+\tau\delta^{1-\varepsilon}}{\|\hat{f}^{\delta}\|}\right)\right)\right]^{-p}.\end{aligned}\nonumber$
其中 $\|\hat{f}^{\delta}\|\geq(1+\tau)\delta^{\frac{1-\varepsilon}{2}}$ , 根据
$\frac{1}{\ln(1-\lambda)}\cdot\ln\left(\frac{\delta+\rho\delta^{1-\varepsilon}}{\|\hat{f}^{\delta}\|}\right) >-\ln\left(\frac{\delta+\rho\delta^{1-\varepsilon}}{\|\hat{f}^{\delta}\|}\right) =\ln\left(\frac{\|\hat{f}^{\delta}\|}{\delta+\rho\delta^{1-\varepsilon}}\right),$
(3.10) $\begin{aligned}I_{4}& \leq C_{p}\cdot E_{p}\cdot4^{p}\cdot\left(\ln\left(\ln\frac{\|\hat{f}^{\delta}\|}{\delta+\rho\delta^{1-\varepsilon}}\right)\right)^{-p}\\& \leq C_{p}\cdot E_{p}\cdot4^{p}\cdot\frac{C}{\ln^{p}(\ln\frac{1}{\delta})}\\& \approx C_{E}\cdot\left(\frac{1}{\ln^{p}(\ln\frac{1}{\delta})}\right)\rightarrow0.\end{aligned}$
(3.11) $\|u^{\delta}_{m}(0,t)-u(0,t)\|\leq I_{1}+I_{2}\leq C\cdot\frac{1}{\ln^{p}(\ln\frac{1}{\delta})}.$
4 数值算例
本节通过一个例子来验证 Landweber 迭代正则化方法的有效性. 当精确数据 $f(t)$ 如下选取时
$f(t)=\left\{\begin{aligned}& \frac{2\alpha}{t^{\alpha+1}}M_{\alpha}(\frac{2}{t^{\alpha}}),\quad&& t>0,\\&0,\quad\quad\quad\quad\quad && \hbox{其它}.\end{aligned}\right.\nonumber$
$u(x,t)=\left\{\begin{aligned}& \frac{\alpha(x+1)}{t^{\alpha+1}}M_{\alpha}(\frac{x+1}{t^{\alpha}}),\quad&& t>0,~~x>0\\&0,\quad\quad\quad\quad\quad\quad\quad && t\leq0.\end{aligned}\right.\nonumber$
$M_{\alpha}=\sum^{+\infty}_{k=0}\frac{(-z)^{k}}{k!\Gamma(1-\alpha-\alpha k)},\quad0<\alpha<1.$
$f^{\delta}(t_{n})=f(t_{n})+\varepsilon\cdot randn(size(f))\nonumber$
这里的 $t_{n}=nk(n=0,1,\cdots,s)$ , $k$ 为时间步长, $rand(\cdot)$ 为均匀分布在 [-1,1] 中的随机数, $\varepsilon$ 表示相对噪声水平. 实验中取 $k=\frac{1}{100}$ , $s=100$ , 并应用数值求积公式给出先验界 $E$ 的值, 使用快速 Fourier 变换与逆变换计算正则解.
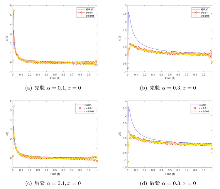
图1 , 图2 分别展示了迭代次数按先验和后验准则下, 取不同的误差水平 $\varepsilon$ , 不同的分数阶 $\alpha$ 以及不同的空间位置 $0<x<1$ 时精确解与正则解的比较, 图3 展示了在 $x=0$ 处精确解与近似解的比较. 从实验结果可以看出噪声水平 $\varepsilon$ 越小时正则解的误差越小; $x$ 越靠近 0 时正则解的误差越大; 此外, 随着分数阶导数的阶数 $\alpha$ 逐渐增大, 数值精度逐渐变差, 这些现象与我们的理论分析是一致的.
图1
图1
先验准则下不同的 $\varepsilon, \alpha, x$ 取值时精确解与正则解的比较
图2
图2
后验准则下不同的 $\varepsilon, \alpha, x$ 取值时精确解与正则解的比较
图3
图3
两种原则下在 $x=0$ 处, 不同的 $\varepsilon, \alpha$ 取值时精确解与正则解的比较
5 结论和未来的工作
本文应用 Landweber 迭代正则化方法求解一类时间分数阶扩散方程的逆问题. 通过严格的理论分析, 分别给出了迭代次数按先验规则和后验规则选取时, 正则解在 $0\leq x<1$ 的收敛结果. 最后, 数值实验表明了该方法的有效性和稳定性. 接下来, 我们将研究解决该类问题的分数阶 Landweber 迭代正则化方法以及其他正则化方法.
参考文献
View Option
[1]
Benson D A . Wheatcraft S W , Meerschaert M M . The fractional-order governing equation of Lévy motion
Water Resour Res , 2000 , 36 : 1413 -1423
DOI:10.1029/2000WR900032
URL
[本文引用: 1]
A governing equation of stable random walks is developed in one dimension. This Fokker‐Planck equation is similar to, and contains as a subset, the second‐order advection dispersion equation (ADE) except that the order (α) of the highest derivative is fractional (e.g., the 1.65th derivative). Fundamental solutions are Lévy's α‐stable densities that resemble the Gaussian except that they spread proportional to time1/α, have heavier tails, and incorporate any degree of skewness. The measured variance of a plume undergoing Lévy motion would grow faster than Fickian plume, at a rate of time2/α, where 0 < α ≤ 2. The equation is parsimonious since the parameters are not functions of time or distance. The scaling behavior of plumes that undergo Lévy motion is accounted for by the fractional derivatives, which are appropriate measures of fractal functions. In real space the fractional derivatives are integrodifferential operators, so the fractional ADE describes a spatially nonlocal process that is ergodic and has analytic solutions for all time and space.
[2]
Meerschaert M M . Tadjeran C . Finite difference approximations for fractional advection-dispersion flow equations
J Comput Appl Math , 2004 , 172 : 65 -77
DOI:10.1016/j.cam.2004.01.033
URL
[本文引用: 1]
[4]
Podlubny I . Fractional Differential Equations: An Introduction to Fractional Derivatives, Fractional Differential Equations, to Methods of Their Solution and Some of Their Applications
San Diego CA: Math Sci Eng , 1999
[6]
Diethelm K . The Analysis of Fractional Differential Equations . Belin : Springer , 2010
[本文引用: 1]
[9]
Murio D A . Stable numerical evalution of Grünwald-Letnikov fractional derivatives applied to a fractional IHCP
Inverse Probl Sci Eng , 2009 , 17 : 229 -243
DOI:10.1080/17415970802082872
URL
[本文引用: 1]
[10]
Zheng G H , Wei T . Spectral regularization method for solving a time-fractional inverse diffusion problem
Appl Math Comput , 2011 , 218 : 396 -405
DOI:10.1016/j.amc.2011.05.076
URL
[本文引用: 1]
[12]
Liu S S , Feng L X . A posteriori regularization parameter choice rule for a modified kernel method for a time-fractional inverse diffusion problem
J Comput Appl Math , 2019 , 353 : 355 -366
DOI:10.1016/j.cam.2018.12.038
URL
[本文引用: 1]
[13]
Li M , Xi X X , Xiong X T . Regularization for a fractional sideways heat equation
Journal of Computational and Applied Mathematics , 2014 , 255 : 28 -43
DOI:10.1016/j.cam.2013.04.035
URL
[本文引用: 1]
[14]
Zhang H W , Lv Y . Iteration regularization method for a sideways problem of time-fractional diffusion equation
Numerical Algorithms , 2022 , 91 : 1145 -1163
DOI:10.1007/s11075-022-01295-x
[本文引用: 1]
[15]
Yang F , Liu X , Li X X , Ma C Y . Landweber iterative regularization method for identifying the unknown source of the time-fractional diffusion equation
Advances in Continuous and Discrete Models: Theory and Applications , 2017 , 2017 : Article 388
[本文引用: 1]
[16]
Nguyen H T , Le D L , Salih T . Tikhonov regularization method for a backward problem for the inhomogeneous time-fractional diffusion equation
Appl Anal , 2018 , 97 (5 ): 842 -863
DOI:10.1080/00036811.2017.1293815
URL
[17]
Xiong X T , Xue X M . A fractional Tikhonov regularization method for identifying a space-dependent source in the time-fractional diffusion equation
Applied Mathematics and Computation , 2019 , 349 : 292 -303
DOI:10.1016/j.amc.2018.12.063
URL
[18]
Ngoc T B , Tuan N H , Kirane M . Regularization of a sideways problem for a time-fractional diffusion equation with nonlinear source
J Inverse Ill-Posed Probl , 2020 , 28 (2 ): 211 -235
DOI:10.1515/jiip-2018-0040
URL
In this paper, we consider an inverse problem for a time-fractional diffusion equation with a nonlinear source.\nWe prove that the considered problem is ill-posed, i.e., the solution does not depend continuously on the data.\nThe problem is ill-posed in the sense of Hadamard.\nUnder some weak a priori assumptions on the sought solution, we propose a new regularization method for stabilizing the ill-posed problem.\nWe also provide a numerical example to illustrate our results.
[19]
Han Y , Xiong X , Xue X . A fractional Landweber method for solving backward time-fractional diffusion problem
Comput Math Appl , 2019 , 78 : 81 -91
DOI:10.1016/j.camwa.2019.02.017
URL
[20]
Yang F , Fan P , Li X X , Ma X Y . Fourier truncation regularization method for a time-fractional backward diffusion problem with a nonlinear source
Mathematics , 2019 , 865 (7 ): 1 -13
[21]
Yang F , Pu Q , Li X X . The fractional Tikhonov regularization methods for identifying the initial value problem for a time-fractional diffusion equation
J Comput Appl Math , 2020 , 380 : Art 112998
[22]
Karimi M , Zallani F , Sayevand F K . Wavelet regularization strategy for the fractional inverse diffusion problem
Numer Algor , 2021 , 87 : 1679 -1705
DOI:10.1007/s11075-020-01025-1
[23]
Yang S , Xiong X , Nie Y . Iterated fractional Tikhonov regularization method for solving the spherically symmetric backward time-fractional diffusion equation
Appl Numer Math , 2021 , 160 : 217 -241
[24]
Fan B , Azaiez M , Xu C . An extension of the Landerweber regularization for a backward time fractional wave problem
Discrete and Continuous Dynamical Systems , 2021 , 14 : 2893 -2916
[25]
Wen J , Yue C W , Liu A X , Regan D O . A fractional Landerweber iteration method for simultaneous inversion in time-fractional diffusion equation
Journal of Applied Analysis and Computation , 2023 , 13 : 3374 -3402
[26]
Wang Y , Qian Z . Regularizing a two-dimensional time-fractional inverse heat conduction problem by a fractional Landweber iteration method
Comput Math Appl , 2024 , 164 : 104 -115
DOI:10.1016/j.camwa.2024.04.001
URL
[27]
Wen J , Wang Y P , Wang Y X , Wang YQ . The quasi-reversibility regularization method for backward problem of the multi-term time-space fractional diffusion equation
Communications in Nonlinear Science and Numerical Simulation , 2024 , 131 : Art 107848
[28]
Wu H H , Yang H Q . Fourier regularization for solving sideways problem of a nonlinear time-fractional diffusion equation
Computational and Applied Mathematics , 2025 , 44 : Article 170
[本文引用: 1]
The fractional-order governing equation of Lévy motion
1
2000
... 众所周知, 由于时间分数阶扩散方程通常可以更好地描述不符合经典菲克定律的反常扩散 (超扩散、非高斯扩散、亚扩散) 现象[1 ,2 ] , 因此被广泛地应用于物理、化学、生物、系统识别、控制理论、金融和分数动力学等众多领域[3 -6 ] . 在过去几十年, 时间分数阶扩散方程正问题已经得到了很好的解决, 然而与之对应的逆问题由于问题的不适定性 (即问题的解不连续地依赖于给定数据), 研究结果相对比较少. 本文我们考虑如下时间分数阶逆扩散问题 ...
Finite difference approximations for fractional advection-dispersion flow equations
1
2004
... 众所周知, 由于时间分数阶扩散方程通常可以更好地描述不符合经典菲克定律的反常扩散 (超扩散、非高斯扩散、亚扩散) 现象[1 ,2 ] , 因此被广泛地应用于物理、化学、生物、系统识别、控制理论、金融和分数动力学等众多领域[3 -6 ] . 在过去几十年, 时间分数阶扩散方程正问题已经得到了很好的解决, 然而与之对应的逆问题由于问题的不适定性 (即问题的解不连续地依赖于给定数据), 研究结果相对比较少. 本文我们考虑如下时间分数阶逆扩散问题 ...
The random walk's guide to anomalous diffusion: A fractional dynamics approach
1
2000
... 众所周知, 由于时间分数阶扩散方程通常可以更好地描述不符合经典菲克定律的反常扩散 (超扩散、非高斯扩散、亚扩散) 现象[1 ,2 ] , 因此被广泛地应用于物理、化学、生物、系统识别、控制理论、金融和分数动力学等众多领域[3 -6 ] . 在过去几十年, 时间分数阶扩散方程正问题已经得到了很好的解决, 然而与之对应的逆问题由于问题的不适定性 (即问题的解不连续地依赖于给定数据), 研究结果相对比较少. 本文我们考虑如下时间分数阶逆扩散问题 ...
Fractional Differential Equations: An Introduction to Fractional Derivatives, Fractional Differential Equations, to Methods of Their Solution and Some of Their Applications
0
1999
Fractional calculus and continuous-time finance
0
2000
1
2010
... 众所周知, 由于时间分数阶扩散方程通常可以更好地描述不符合经典菲克定律的反常扩散 (超扩散、非高斯扩散、亚扩散) 现象[1 ,2 ] , 因此被广泛地应用于物理、化学、生物、系统识别、控制理论、金融和分数动力学等众多领域[3 -6 ] . 在过去几十年, 时间分数阶扩散方程正问题已经得到了很好的解决, 然而与之对应的逆问题由于问题的不适定性 (即问题的解不连续地依赖于给定数据), 研究结果相对比较少. 本文我们考虑如下时间分数阶逆扩散问题 ...
Stable numerical solution of a fractional-diffusion inverse heat conduction problem
1
2007
... 上面的逆问题也被称为侧边反问题, 它有着较广的应用背景, 比如可以用来描述根据半无限长板内部某处温度场的观测数据恢复板的边界处温度场的分布. 该问题是严重不适定的, 需要使用有效的正则化方法来解决. Murio[7 -9 ] 最早使用磨光化的方法研究了这类侧边反问题, 之后国内的一些学者分别应用谱正则化方法、迭代正则化方法、修正核正则化方法对该反问题(1.1)开展了研究工作, 见文献[10 -12 ]. 也有学者对时间分数阶导数, 空间是经典二阶导数的扩散方程侧边反问题进行了研究, 见文献[13 ,14 ]. 与文献[11 ]中的迭代格式不同, 本文尝试应用经典的 Landweber 迭代方法研究问题(1.1). 关于其它类型的时间分数阶微分方程反问题以及 Landweber 迭代正则化方法求解其它反问题的文献读者可参见文献[15 -28 ]及其参考文献. ...
Time fractional IHCP with Caputo fractional derivatives
0
2008
Stable numerical evalution of Grünwald-Letnikov fractional derivatives applied to a fractional IHCP
1
2009
... 上面的逆问题也被称为侧边反问题, 它有着较广的应用背景, 比如可以用来描述根据半无限长板内部某处温度场的观测数据恢复板的边界处温度场的分布. 该问题是严重不适定的, 需要使用有效的正则化方法来解决. Murio[7 -9 ] 最早使用磨光化的方法研究了这类侧边反问题, 之后国内的一些学者分别应用谱正则化方法、迭代正则化方法、修正核正则化方法对该反问题(1.1)开展了研究工作, 见文献[10 -12 ]. 也有学者对时间分数阶导数, 空间是经典二阶导数的扩散方程侧边反问题进行了研究, 见文献[13 ,14 ]. 与文献[11 ]中的迭代格式不同, 本文尝试应用经典的 Landweber 迭代方法研究问题(1.1). 关于其它类型的时间分数阶微分方程反问题以及 Landweber 迭代正则化方法求解其它反问题的文献读者可参见文献[15 -28 ]及其参考文献. ...
Spectral regularization method for solving a time-fractional inverse diffusion problem
1
2011
... 上面的逆问题也被称为侧边反问题, 它有着较广的应用背景, 比如可以用来描述根据半无限长板内部某处温度场的观测数据恢复板的边界处温度场的分布. 该问题是严重不适定的, 需要使用有效的正则化方法来解决. Murio[7 -9 ] 最早使用磨光化的方法研究了这类侧边反问题, 之后国内的一些学者分别应用谱正则化方法、迭代正则化方法、修正核正则化方法对该反问题(1.1)开展了研究工作, 见文献[10 -12 ]. 也有学者对时间分数阶导数, 空间是经典二阶导数的扩散方程侧边反问题进行了研究, 见文献[13 ,14 ]. 与文献[11 ]中的迭代格式不同, 本文尝试应用经典的 Landweber 迭代方法研究问题(1.1). 关于其它类型的时间分数阶微分方程反问题以及 Landweber 迭代正则化方法求解其它反问题的文献读者可参见文献[15 -28 ]及其参考文献. ...
An iteration regularization for a time-fractional inverse diffusion problem
1
2012
... 上面的逆问题也被称为侧边反问题, 它有着较广的应用背景, 比如可以用来描述根据半无限长板内部某处温度场的观测数据恢复板的边界处温度场的分布. 该问题是严重不适定的, 需要使用有效的正则化方法来解决. Murio[7 -9 ] 最早使用磨光化的方法研究了这类侧边反问题, 之后国内的一些学者分别应用谱正则化方法、迭代正则化方法、修正核正则化方法对该反问题(1.1)开展了研究工作, 见文献[10 -12 ]. 也有学者对时间分数阶导数, 空间是经典二阶导数的扩散方程侧边反问题进行了研究, 见文献[13 ,14 ]. 与文献[11 ]中的迭代格式不同, 本文尝试应用经典的 Landweber 迭代方法研究问题(1.1). 关于其它类型的时间分数阶微分方程反问题以及 Landweber 迭代正则化方法求解其它反问题的文献读者可参见文献[15 -28 ]及其参考文献. ...
A posteriori regularization parameter choice rule for a modified kernel method for a time-fractional inverse diffusion problem
1
2019
... 上面的逆问题也被称为侧边反问题, 它有着较广的应用背景, 比如可以用来描述根据半无限长板内部某处温度场的观测数据恢复板的边界处温度场的分布. 该问题是严重不适定的, 需要使用有效的正则化方法来解决. Murio[7 -9 ] 最早使用磨光化的方法研究了这类侧边反问题, 之后国内的一些学者分别应用谱正则化方法、迭代正则化方法、修正核正则化方法对该反问题(1.1)开展了研究工作, 见文献[10 -12 ]. 也有学者对时间分数阶导数, 空间是经典二阶导数的扩散方程侧边反问题进行了研究, 见文献[13 ,14 ]. 与文献[11 ]中的迭代格式不同, 本文尝试应用经典的 Landweber 迭代方法研究问题(1.1). 关于其它类型的时间分数阶微分方程反问题以及 Landweber 迭代正则化方法求解其它反问题的文献读者可参见文献[15 -28 ]及其参考文献. ...
Regularization for a fractional sideways heat equation
1
2014
... 上面的逆问题也被称为侧边反问题, 它有着较广的应用背景, 比如可以用来描述根据半无限长板内部某处温度场的观测数据恢复板的边界处温度场的分布. 该问题是严重不适定的, 需要使用有效的正则化方法来解决. Murio[7 -9 ] 最早使用磨光化的方法研究了这类侧边反问题, 之后国内的一些学者分别应用谱正则化方法、迭代正则化方法、修正核正则化方法对该反问题(1.1)开展了研究工作, 见文献[10 -12 ]. 也有学者对时间分数阶导数, 空间是经典二阶导数的扩散方程侧边反问题进行了研究, 见文献[13 ,14 ]. 与文献[11 ]中的迭代格式不同, 本文尝试应用经典的 Landweber 迭代方法研究问题(1.1). 关于其它类型的时间分数阶微分方程反问题以及 Landweber 迭代正则化方法求解其它反问题的文献读者可参见文献[15 -28 ]及其参考文献. ...
Iteration regularization method for a sideways problem of time-fractional diffusion equation
1
2022
... 上面的逆问题也被称为侧边反问题, 它有着较广的应用背景, 比如可以用来描述根据半无限长板内部某处温度场的观测数据恢复板的边界处温度场的分布. 该问题是严重不适定的, 需要使用有效的正则化方法来解决. Murio[7 -9 ] 最早使用磨光化的方法研究了这类侧边反问题, 之后国内的一些学者分别应用谱正则化方法、迭代正则化方法、修正核正则化方法对该反问题(1.1)开展了研究工作, 见文献[10 -12 ]. 也有学者对时间分数阶导数, 空间是经典二阶导数的扩散方程侧边反问题进行了研究, 见文献[13 ,14 ]. 与文献[11 ]中的迭代格式不同, 本文尝试应用经典的 Landweber 迭代方法研究问题(1.1). 关于其它类型的时间分数阶微分方程反问题以及 Landweber 迭代正则化方法求解其它反问题的文献读者可参见文献[15 -28 ]及其参考文献. ...
Landweber iterative regularization method for identifying the unknown source of the time-fractional diffusion equation
1
2017
... 上面的逆问题也被称为侧边反问题, 它有着较广的应用背景, 比如可以用来描述根据半无限长板内部某处温度场的观测数据恢复板的边界处温度场的分布. 该问题是严重不适定的, 需要使用有效的正则化方法来解决. Murio[7 -9 ] 最早使用磨光化的方法研究了这类侧边反问题, 之后国内的一些学者分别应用谱正则化方法、迭代正则化方法、修正核正则化方法对该反问题(1.1)开展了研究工作, 见文献[10 -12 ]. 也有学者对时间分数阶导数, 空间是经典二阶导数的扩散方程侧边反问题进行了研究, 见文献[13 ,14 ]. 与文献[11 ]中的迭代格式不同, 本文尝试应用经典的 Landweber 迭代方法研究问题(1.1). 关于其它类型的时间分数阶微分方程反问题以及 Landweber 迭代正则化方法求解其它反问题的文献读者可参见文献[15 -28 ]及其参考文献. ...
Tikhonov regularization method for a backward problem for the inhomogeneous time-fractional diffusion equation
0
2018
A fractional Tikhonov regularization method for identifying a space-dependent source in the time-fractional diffusion equation
0
2019
Regularization of a sideways problem for a time-fractional diffusion equation with nonlinear source
0
2020
A fractional Landweber method for solving backward time-fractional diffusion problem
0
2019
Fourier truncation regularization method for a time-fractional backward diffusion problem with a nonlinear source
0
2019
The fractional Tikhonov regularization methods for identifying the initial value problem for a time-fractional diffusion equation
0
2020
Wavelet regularization strategy for the fractional inverse diffusion problem
0
2021
Iterated fractional Tikhonov regularization method for solving the spherically symmetric backward time-fractional diffusion equation
0
2021
An extension of the Landerweber regularization for a backward time fractional wave problem
0
2021
A fractional Landerweber iteration method for simultaneous inversion in time-fractional diffusion equation
0
2023
Regularizing a two-dimensional time-fractional inverse heat conduction problem by a fractional Landweber iteration method
0
2024
The quasi-reversibility regularization method for backward problem of the multi-term time-space fractional diffusion equation
0
2024
Fourier regularization for solving sideways problem of a nonlinear time-fractional diffusion equation
1
2025
... 上面的逆问题也被称为侧边反问题, 它有着较广的应用背景, 比如可以用来描述根据半无限长板内部某处温度场的观测数据恢复板的边界处温度场的分布. 该问题是严重不适定的, 需要使用有效的正则化方法来解决. Murio[7 -9 ] 最早使用磨光化的方法研究了这类侧边反问题, 之后国内的一些学者分别应用谱正则化方法、迭代正则化方法、修正核正则化方法对该反问题(1.1)开展了研究工作, 见文献[10 -12 ]. 也有学者对时间分数阶导数, 空间是经典二阶导数的扩散方程侧边反问题进行了研究, 见文献[13 ,14 ]. 与文献[11 ]中的迭代格式不同, 本文尝试应用经典的 Landweber 迭代方法研究问题(1.1). 关于其它类型的时间分数阶微分方程反问题以及 Landweber 迭代正则化方法求解其它反问题的文献读者可参见文献[15 -28 ]及其参考文献. ...